题目内容

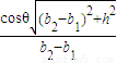
如图所示,一束平行单色光由空气斜射入厚度为h的玻璃砖,入射光束与玻璃砖上表面夹角为θ,入射光束左边缘与玻璃砖左端距离为b1,经折射后出射光束左边缘与玻璃砖的左端距离为b2,可以认为光在空气中的速度等于真空中的光速c.求:光在玻璃砖中的传播速度v.

【答案】分析:作出光路图,由几何知识求出光线在上表面折射角的正弦,由折射定律求出折射率,再求出光在玻璃砖中的传播速度v.
解答:解:由光的折射定律得
         
由几何关系得 sini=cosθ
sinr=
则得n=
又n=
则得光在玻璃砖中的传播速度 v=
答:光在玻璃砖中的传播速度为
点评:本题的解题关键是利用几何知识求出折射角的正弦,即可求得折射率,从而求出光在玻璃砖中的传播速度v.
练习册系列答案
相关题目
(2011?泗阳县一模) (选做题)本题包括A、B、C三小题,请选定其中两题,并在相应答题区域内作答.若三题都做,则按A、B两题评分.
A.(选修3-3模块)
(1)以下说法中正确的是
A.物体内能取决于温度、体积和物质的量
B.布朗运动是悬浮在液体中固体颗粒的分子无规则运动的反映
C.浸润和不浸润均是分子力作用的表现
D.液晶对不同颜色光的吸收强度随电场强度的变化而变化
(2)如图所示,气缸内封闭一定质量的某种理想气体,活塞通过滑轮和一重物连接并保持平衡,已知活塞距缸口0.2m,活塞面积10cm2,大气压强1.0×105Pa,物重50N,活塞质量及一切摩擦不计,缓慢升高环境温度,使活塞刚好升到缸口,封闭气体吸收了60J的热量,同时气体对外做功10J的功,则封闭气体的压强将
不变
不变
选填“增加”、“减小”或“不变”),气体内能变化量为
50
50
J.
(3)用油膜法测量分子大小的实验中,将浓度为的一滴油酸溶液,轻轻滴入水中,稳定后形成了一层单分子油膜,测得一滴油酸溶液的体积为V0,形成的油膜面积为S,则油酸分子的直径约为多少?如果把油酸分子看成是球形的,该滴油酸分子数约为多少?
B.(选修3-4模块)
(1)下列说法中正确的有
A.不管光源与观察者是否存在相对运动,观察者观察到的光速是不变的
B.水面上的油膜呈现彩色是光的干涉现象
C.在光导纤维束内传送图象是利用光的色散现象
D.声源向静止的观察者运动,观察者接收到的频率小于声源的频率
(2)如图1所示为一个向右传播的t=0时刻的横波波形图,已知波从O点传到D点用0.2s,该波的波速为
10
10
 m/s,频率为
2.5
2.5
 Hz;t=0时,图中“A、B、C、D、E、F、G、H、I、J”各质点中,向y轴正方向运动的速率最大的质点是
D
D

(3)图2示是一透明的圆柱体的横截面,其半径R=20cm,折射率为
3
,AB是一条直径,今有一束平行光沿AB方向射向圆柱体,试求:
①光在圆柱体中的传播速度;
②距离直线AB多远的入射光线,折射后恰经过B点.
C.(选修模块3-5)
(1)下列说法正确的是
A.康普顿效应进一步证实了光的波动特性
B.为了解释黑体辐射规律,普朗克提出电磁辐射的能量的量子化
C.经典物理学不能解释原子的稳定性和原子光谱的分立特征
D.天然放射性元素的半衰期与环境的温度有关
(2)90234Th是不稳定的,能自发地发生衰变.
①完成90234Th衰变反应方程90234Th→91234Pa+.
90234Th衰变为86222Rn,共经过
3
3
  次α衰变,
2
2
 次β衰变.
(3)光滑水平上有A、B两辆小车,A、B两车上分别固定一根条形磁铁和两根条形磁铁(条形磁铁是相同的),已知A车(包括车上的磁铁)的质量是B车(包括车上的磁铁)质量的4倍,当A车以已知速度v向静止的B车运动时,当它们之间的距离缩短到某一极限值后又被弹开,然后各自以新的速度做匀速直线运动,设作用前后它们的轨迹在同一直线上,求当A、B之间距离最短时它们各自的速度.

A.(选修模块3-3)(12分)
(1)下列四幅图的有关说法中正确的是        

A.分子间距离为r0时,分子间不存在引力和斥力
B.水面上的单分子油膜,在测量油膜直径d大小时可把他们当做球形处理
C.食盐晶体中的钠、氯离子按一定规律分布,具有空间上的周期性
D.猛推木质推杆,气体对外界做正功,密闭的气体温度升高,压强变大
(2)已知某物质摩尔质量为M,密度为ρ,阿伏加德罗常数为NA,则该物质的分子质量为      ,单位体积的分子数为      . 
(3)如图,一定质量的理想气体从状态A经等容过程变化到状态B,此过程中气体吸收的热量Q=6.0×102J,

求:
①该气体在状态A时的压强;
②该气体从状态A到状态B过程中内能的增量。
B.(选修模块3-4)(12分)
(1)下列四幅图的有关说法中正确的是      

A.由两个简谐运动的图像可知:它们的相位差为/2或者
B.当球与横梁之间存在摩擦的情况下,球的振动不是简谐运动
C.频率相同的两列波叠加时,某些区域的振动加强,某些区域的振动减弱
D.当简谐波向右传播时,质点A此时的速度沿y轴正方向
(2)1905年爱因斯坦提出的狭义相对论是以狭义相对性原理和           这两条基本假设为前提的;在相对于地面以0.8c运动的光火箭上的人观测到地面上的的生命进程比火箭上的生命进程要   (填快或慢)。
(3)如图所示,△ABC为等腰直角三棱镜的横截面,∠C=90°,一束激光a沿平行于AB边射入棱镜,经一次折射后射到BC边时,刚好能发生全反射,求该棱镜的折射率n和棱镜中的光速。

C.(选修模块3-5)(12分)
(1)下列说法正确的是
A.某放射性元素经过19天后,余下的该元素的质量为原来的1/32,则该元素的半衰期为 3.8天
B.a粒子散射实验说明原子核内部具有复杂结构
C.对放射性物质施加压力,其半衰期将减少
D.氢原子从定态n=3跃迁到定态n= 2,再跃迁到定态n = 1,则后一次跃迁辐射的光的波长比前一次的要短
(2)光电效应和       都证明光具有粒子性,      提出实物粒子也具有波动性。
(3)如图所示,水平光滑地面上依次放置着质量均为m ="0.08" kg的10块完全相同的长直木板。质量M =" 1.0" kg、大小可忽略的小铜块以初速度v0="6.0" m/s从长木板左端滑上木板,当铜块滑离第一块木板时,速度大小为v1="4.0" m/S。铜块最终停在第二块木板上。取g="10" m/s2,结果保留两位有效数字。求:

①第一块木板的最终速度
②铜块的最终速度

A.(选修模块3-3)(12分)

(1)下列四幅图的有关说法中正确的是        

A.分子间距离为r0时,分子间不存在引力和斥力

B.水面上的单分子油膜,在测量油膜直径d大小时可把他们当做球形处理

C.食盐晶体中的钠、氯离子按一定规律分布,具有空间上的周期性

D.猛推木质推杆,气体对外界做正功,密闭的气体温度升高,压强变大

(2)已知某物质摩尔质量为M,密度为ρ,阿伏加德罗常数为NA,则该物质的分子质量为      ,单位体积的分子数为      . 

(3)如图,一定质量的理想气体从状态A经等容过程变化到状态B,此过程中气体吸收的热量Q=6.0×102J,

求:

①该气体在状态A时的压强;

②该气体从状态A到状态B过程中内能的增量。

B.(选修模块3-4)(12分)

(1)下列四幅图的有关说法中正确的是      

A.由两个简谐运动的图像可知:它们的相位差为/2或者

B.当球与横梁之间存在摩擦的情况下,球的振动不是简谐运动

C.频率相同的两列波叠加时,某些区域的振动加强,某些区域的振动减弱

D.当简谐波向右传播时,质点A此时的速度沿y轴正方向

(2)1905年爱因斯坦提出的狭义相对论是以狭义相对性原理和           这两条基本假设为前提的;在相对于地面以0.8c运动的光火箭上的人观测到地面上的的生命进程比火箭上的生命进程要   (填快或慢)。

(3)如图所示,△ABC为等腰直角三棱镜的横截面,∠C=90°,一束激光a沿平行于AB边射入棱镜,经一次折射后射到BC边时,刚好能发生全反射,求该棱镜的折射率n和棱镜中的光速。

C.(选修模块3-5)(12分)

(1)下列说法正确的是

A.某放射性元素经过19天后,余下的该元素的质量为原来的1/32,则该元素的半衰期为 3.8天

B.a粒子散射实验说明原子核内部具有复杂结构

C.对放射性物质施加压力,其半衰期将减少

D.氢原子从定态n=3跃迁到定态n= 2,再跃迁到定态n = 1,则后一次跃迁辐射的光的波长比前一次的要短

(2)光电效应和       都证明光具有粒子性,      提出实物粒子也具有波动性。

(3)如图所示,水平光滑地面上依次放置着质量均为m ="0.08" kg的10块完全相同的长直木板。质量M =" 1.0" kg、大小可忽略的小铜块以初速度v0="6.0" m/s从长木板左端滑上木板,当铜块滑离第一块木板时,速度大小为v1="4.0" m/S。铜块最终停在第二块木板上。取g="10" m/s2,结果保留两位有效数字。求:

①第一块木板的最终速度

②铜块的最终速度

 

 【选做题】本题包括A、B、C三小题,请选定其中两题,并在答题卡相应的答题区域内作答.若三题都做,则按A、B两题评分.

A.(选修模块3—3)(12分)

(1)利用油酸在水面上形成一单分子层油膜的实验,估测分子直径的大小.有以下的实验步骤:

A、在边长约40cm的浅盘里倒入自来水,深约2cm,将少许痱子粉均匀地轻轻撒在水面上;

B、将5mL的油酸倒入盛有酒精的玻璃杯中,盖上盖并摇动,使油酸均匀溶解形成油酸酒精溶液,读出该溶液的体积为V(mL)

C、用滴管往盘中水面上滴1滴油酸酒精溶液.由于酒精溶于水而油酸不溶于水,于是该滴中的油酸就在水面上散开,形成油酸薄膜;

D、用滴管将油酸酒精溶液一滴一滴地滴人空量杯中,记下当杯中溶液达到1 mL时的总滴数n

E、取下玻璃板放在方格纸上,量出该单分子层油酸膜的面积S(cm2).

F、将平板玻璃放在浅方盘上,待油酸薄膜形状稳定后可认为已形成单分子层油酸膜.用彩笔将该单分子层油酸膜的轮廓画在玻璃板上.

   ①完成该实验的实验步骤顺序应该是     ▲      .

   ②在估算油酸分子直径大小时,可将分子看成球形.用以上实验步骤中的数据和符号表示,油酸分子直径的大小约为d   ▲   cm.

(2)在油膜法测分子直径的实验中,用盆口直径为0.4m的面盆盛水,要让油酸滴在水面上散成单分子的油酸膜,那么油酸体积不能大于多少   ▲    m3,实验中可以先把油酸稀释成油酸溶液,再用特制滴管把这种油酸滴1滴到水面上.若测得1mL油酸溶液为120滴,那么1mL油酸至少应稀释成

   ▲   mL的油酸溶液.

 

(3)质量为6.0kg、温度为-20oC的冰全部变成30oC的水,后在常温下(30oC)全部蒸发为水蒸气,整个过程需要吸收多少热量?(设水在常温下的汽化热为L =2.4×106J/kg,冰的比热容为2.1×103J/kgoC,水的比热容为4.2×103J/kgoC,冰的熔化热为=3.34×105J/kg)

B.(选修模块3—4)(12分)

(1)在以下各种说法中,正确的是   ▲   

A.一单摆做简谐运动,摆球的运动周期不随摆角和摆球质量的改变而改变

B.光的偏振现象说明光具有波动性,实际上,所有波动形式都可以发生偏振现象.

C.横波在传播过程中,波峰上的质点运动到相邻的波峰所用的时间为一个周期

D.变化的电场一定产生变化的磁场;变化的磁场一定产生变化的电场

E.在光的双逢干涉实验中,若仅将入射光由红光改为绿光,则干涉条纹间距变窄

F.真空中光速在不同的惯性参考系中都是相同的,与光源、观察者间的相对运动没有关系

G.火车过桥要慢行,目的是使驱动力频率远小于桥梁的固有频率,以免发生共振损坏桥梁

H.光导纤维有很多的用途,它由内芯和外套两层组成,外套的折射率比内芯要大

(2)有两个同学利用假期分别去参观北大和南大的物理实验室,各自在那里利用先进的DIS系统较准确地探究了“单摆的周期T与摆长L的关系”,他们通过校园网交换实验数据,并由计算机绘制了T2L图像,如图甲所示.去北大的同学所测实验结果对应的图线是 ▲   (选填“A”或“B”).另外,在南大做探究的同学还利用计算机绘制了两种单摆的振动图像(如图乙所示),由图可知,两单摆摆长之比   ▲   

 

 

 

 

 

 

 


(3)如图所示,一截面为正三角形的棱镜,其折射率为.今有一束单色光

射到它的一个侧面,经折射后与底边平行,再射向另一侧面后射出.试求 

出射光线相对于第一次射向棱镜的入射光线偏离了多少角度?

C.(选修模块3—5)(12分)

(1)下列说法正确的是   ▲ 

 A、太阳辐射的能量主要来自太阳内部的核裂变反应

 B、汤姆生发现电子,表明原子具有核式结构

 C、一束光照射到某种金属上不能发生光电效应,是因为该束光的波长太短

 D、按照玻尔理论,氢原子核外电子从半径较小的轨道跃迁到半径较大的轨道时,电子的动能减小,原子总能量增大

 E、E=mc2表明物体具有的能量与其质量成正比

 F、 β衰变所释放的电子是原子核内的中子转化成质子和电子所产生的

(2)在光滑的水平面上有甲、乙两个物体发生正碰,已知甲的质量为1kg,乙的质量为3kg,碰前碰后的位移时间图像如图所示,碰后乙的图像没画,则碰后乙的速度大小为  ▲  m/s,碰撞前后乙的速度方向   ▲  (填“变”、“不变”)

(3)从某金属表面逸出光电子的最大初动能与入射光的频率的图像如下图所示,则这种金属的截止频率是________HZ;普朗克常量是 ____Js.

 

 【选做题】本题包括A、B、C三小题,请选定其中两题,并在答题卡相应的答题区域内作答.若三题都做,则按A、B两题评分.

A.(选修模块3—3)(12分)

(1)利用油酸在水面上形成一单分子层油膜的实验,估测分子直径的大小.有以下的实验步骤:

A、在边长约40cm的浅盘里倒入自来水,深约2cm,将少许痱子粉均匀地轻轻撒在水面上;

B、将5mL的油酸倒入盛有酒精的玻璃杯中,盖上盖并摇动,使油酸均匀溶解形成油酸酒精溶液,读出该溶液的体积为V(mL)

C、用滴管往盘中水面上滴1滴油酸酒精溶液.由于酒精溶于水而油酸不溶于水,于是该滴中的油酸就在水面上散开,形成油酸薄膜;

D、用滴管将油酸酒精溶液一滴一滴地滴人空量杯中,记下当杯中溶液达到1 mL时的总滴数n

E、取下玻璃板放在方格纸上,量出该单分子层油酸膜的面积S(cm2).

F、将平板玻璃放在浅方盘上,待油酸薄膜形状稳定后可认为已形成单分子层油酸膜.用彩笔将该单分子层油酸膜的轮廓画在玻璃板上.

   ①完成该实验的实验步骤顺序应该是      ▲      .

   ②在估算油酸分子直径大小时,可将分子看成球形.用以上实验步骤中的数据和符号表示,油酸分子直径的大小约为d   ▲   cm.

(2)在油膜法测分子直径的实验中,用盆口直径为0.4m的面盆盛水,要让油酸滴在水面上散成单分子的油酸膜,那么油酸体积不能大于多少   ▲    m3,实验中可以先把油酸稀释成油酸溶液,再用特制滴管把这种油酸滴1滴到水面上.若测得1mL油酸溶液为120滴,那么1mL油酸至少应稀释成

   ▲   mL的油酸溶液.

 

(3)质量为6.0kg、温度为-20oC的冰全部变成30oC的水,后在常温下(30oC)全部蒸发为水蒸气,整个过程需要吸收多少热量?(设水在常温下的汽化热为L =2.4×106J/kg,冰的比热容为2.1×103J/kgoC,水的比热容为4.2×103J/kgoC,冰的熔化热为=3.34×105J/kg)

B.(选修模块3—4)(12分)

(1)在以下各种说法中,正确的是    ▲   

A.一单摆做简谐运动,摆球的运动周期不随摆角和摆球质量的改变而改变

B.光的偏振现象说明光具有波动性,实际上,所有波动形式都可以发生偏振现象.

C.横波在传播过程中,波峰上的质点运动到相邻的波峰所用的时间为一个周期

D.变化的电场一定产生变化的磁场;变化的磁场一定产生变化的电场

E.在光的双逢干涉实验中,若仅将入射光由红光改为绿光,则干涉条纹间距变窄

F.真空中光速在不同的惯性参考系中都是相同的,与光源、观察者间的相对运动没有关系

G.火车过桥要慢行,目的是使驱动力频率远小于桥梁的固有频率,以免发生共振损坏桥梁

H.光导纤维有很多的用途,它由内芯和外套两层组成,外套的折射率比内芯要大

(2)有两个同学利用假期分别去参观北大和南大的物理实验室,各自在那里利用先进的DIS系统较准确地探究了“单摆的周期T与摆长L的关系”,他们通过校园网交换实验数据,并由计算机绘制了T2L图像,如图甲所示.去北大的同学所测实验结果对应的图线是  ▲   (选填“A”或“B”).另外,在南大做探究的同学还利用计算机绘制了两种单摆的振动图像(如图乙所示),由图可知,两单摆摆长之比    ▲   

 

 

 

 

 

 

 


(3)如图所示,一截面为正三角形的棱镜,其折射率为.今有一束单色光

射到它的一个侧面,经折射后与底边平行,再射向另一侧面后射出.试求 

出射光线相对于第一次射向棱镜的入射光线偏离了多少角度?

C.(选修模块3—5)(12分)

(1)下列说法正确的是   ▲ 

 A、太阳辐射的能量主要来自太阳内部的核裂变反应

 B、汤姆生发现电子,表明原子具有核式结构

 C、一束光照射到某种金属上不能发生光电效应,是因为该束光的波长太短

 D、按照玻尔理论,氢原子核外电子从半径较小的轨道跃迁到半径较大的轨道时,电子的动能减小,原子总能量增大

 E、E=mc2表明物体具有的能量与其质量成正比

 F、 β衰变所释放的电子是原子核内的中子转化成质子和电子所产生的

(2)在光滑的水平面上有甲、乙两个物体发生正碰,已知甲的质量为1kg,乙的质量为3kg,碰前碰后的位移时间图像如图所示,碰后乙的图像没画,则碰后乙的速度大小为  ▲  m/s,碰撞前后乙的速度方向   ▲  (填“变”、“不变”)

(3)从某金属表面逸出光电子的最大初动能与入射光的频率的图像如下图所示,则这种金属的截止频率是________HZ;普朗克常量是  ____Js.

 

违法和不良信息举报电话:027-86699610 举报邮箱:58377363@163.com

精英家教网