题目内容
如图所示,单摆摆球的质量为m,摆球从最大位移A处由静止释放,摆球运动到最低点B时的速度大小为v。重力加速度为g,不计空气阻力。则摆球从A运动到B的过程中( )
![]()
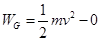
A.重力做的功为
B.重力的最大瞬时功率为mgv
C.重力的冲量为0 D.重力的冲量大小为mv
【答案】
A
【解析】
试题分析:摆球从最大位移A处由静止开始释放,摆球运动到最低点B,根据动能定理得:
,故A正确.某个力的功率应用力乘以力方向上的速度,摆球运动到B时的速度方向是水平的,所以重力的瞬时功率是0,故B错误.由动量定理,合外力的冲量等于物体动量的改变量.所以摆球从A运动到B的过程中合力的冲量为mv,故C错误;D错误.
考点:本题考查动能定理、瞬时功率、动量定理.
练习册系列答案
相关题目
A、摆球从A运动到B的过程中重力做功为
| ||
| B、摆球在A点时重力的瞬时功率为0 | ||
| C、摆球运动到B时重力的瞬时功率是mgv | ||
| D、摆球从A运动到B的过程中重力的瞬时功率不断增大 |
| A、摆球运动到B时加速度等于零 | ||
| B、摆球从A运动到B的过程中细线对小球拉力的冲量等于零 | ||
| C、摆球从A运动到B的过程中回复力的冲量大小等于mv | ||
D、摆球运动到最低点B时绳对其拉力比重力大
|
A、重力做的功为
| ||
| B、重力的最大瞬时功率为mgv | ||
| C、重力的冲量为0 | ||
| D、重力的冲量大小为mv |