题目内容
一物体从斜面顶端由静止开始做匀加速运动下滑到斜面底端,在最初3s内位移为0.36m,最后3s内经过的位移为0.84m,求斜面的长度.
【答案】分析:物体在斜面上做初速度为0的匀加速直线运动,已知前3s内的位移可以求出物体下滑的加速度,已知加速度和最后3s的时间和位移,可以求出物体的末速度,由运动规律可求斜面的长度.
解答:解:已知物体做初速度为0的匀加速直线运动,在最初3s内的位移是0.36m,
根据x=
得物体匀加速直线运动的加速度
a=
令物体最后3s的初速度为v,滑到底端的速度为v,则可知
v=v+at?v=v-at
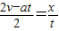
又因为:
∴
即:
/s=0.4m/s
在斜面上物体做初速度为0的匀加速直线运动,则有
.
答:斜面的长度为1m.
点评:只要时间大于3s,则运动就会有前3s和后3s的说法,千万不要认为物体一定要运动6s.然后根据匀变速直线运动规律求解即可.
解答:解:已知物体做初速度为0的匀加速直线运动,在最初3s内的位移是0.36m,
根据x=
a=
令物体最后3s的初速度为v,滑到底端的速度为v,则可知
v=v+at?v=v-at
又因为:
∴
即:
在斜面上物体做初速度为0的匀加速直线运动,则有
答:斜面的长度为1m.
点评:只要时间大于3s,则运动就会有前3s和后3s的说法,千万不要认为物体一定要运动6s.然后根据匀变速直线运动规律求解即可.
练习册系列答案
相关题目