题目内容
a、b是两颗绕地球运行的人造卫星,若卫星的运动可近似看成是匀速圆周运动,已知2ra=rb,则( )A.
B.
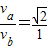
C.va=2vb
D.2va=vb
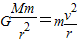
【答案】分析:根据万有引力提供向心力
=
,以及轨道半径比,得出线速度之比和周期之比.
解答:解:根据万有引力提供向心力
得,v=
,
.已知
,则
,
.故B正确,A、C、D错误.
故选B.
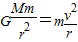
点评:解决本题的关键掌握万有引力提供向心力
=
,会根据轨道半径比得出线速度之比和周期之比.
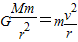
解答:解:根据万有引力提供向心力
故选B.
点评:解决本题的关键掌握万有引力提供向心力
练习册系列答案
相关题目
在青海玉树抗震救灾中,我国自主研制的“北斗一号”
卫星导航系统,在抗震救灾中发挥了巨大作用。北斗导
|
功能。“北斗”系统中两颗工作星均绕地心O做匀速圆
周运动,轨道半径为r,某时刻两颗工作卫星分别位于
轨道上的A、B两位置(如图所示).若卫星均顺时针运
行,地球表面处的重力加速度为g,地球半径为R,不计
卫星间的相互作用力.则以下判断中正确的是( )
A.这两颗卫星的加速度大小相等,均为
B.卫星l向后喷气就一定能追上卫星2
C.卫星l由位置A运动至位置B所需的时间为![]()
D.卫星1由位置A运动到位置B的过程中万有引力做功为零
在四川汶川的抗震救灾中,我国自主研制的“北斗一号”
|
航系统又被称为“双星定位系统”,具有导航、定位等(
功能。“北斗”系统中两颗工作星均绕地心O做匀速圆
周运动,轨道半径为r,某时刻两颗工作卫星分别位于
轨道上的A、B两位置(如图所示).若卫星均顺时针运
行,地球表面处的重力加速度为g,地球半径为R,不计
卫星间的相互作用力.则以下判断中正确的是( )
A.这两颗卫星的加速度大小相等,均为![]()
B.卫星l向后喷气就一定能追上卫星2
C.卫星l由位置A运动至位置B所需的时间为![]()
D.卫星1由位置A运动到位置B的过程中万有引力做功为零