题目内容
我国发射的“神州六号”载人飞船,与“神州五号”飞船相比,它在更高的轨道上绕地球做匀速圆周运动,如图做示,下列说法中正确的是( )A.“神州六号”的速度较小
B.“神州六号”的速度与“神州五号”的相同
C.“神州六号”的周期更短
D.“神州六号”的周期与“神州五号”的相同
【答案】分析:研究卫星绕地球做匀速圆周运动,根据万有引力提供向心力,列出等式表示出线速度、周期物理量根据轨道半径的关系判断各物理量的大小关系.
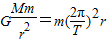
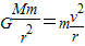
解答:解:A、B:根据万有引力提供向心力得出:
,得
.由于神州六号的轨道半径比神州五号的大,所以“神州六号”的速度较小,故A正确,B错误.
C、D:根据万有引力提供向心力得出:
,得
.由于神州六号的轨道半径比神州五号的大,所以“神州六号”的周期较大,故C、D均错误.
故选A.
点评:要比较一个物理量大小,我们应该把这个物理量先表示出来,在进行比较.
向心力的公式选取要根据题目提供的已知物理量选取应用.
解答:解:A、B:根据万有引力提供向心力得出:
C、D:根据万有引力提供向心力得出:
故选A.
点评:要比较一个物理量大小,我们应该把这个物理量先表示出来,在进行比较.
向心力的公式选取要根据题目提供的已知物理量选取应用.
练习册系列答案
相关题目