题目内容

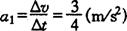
甲、乙两车从同一地点出发同向运动,其图像如图所示.试计算:

(1)从乙车开始运动多少时间后两车相遇?

(2)相遇处距出发点多远?

(3)相遇前两车的最大距离是多少?

解:从图像知两车初速

加速度分别为:      ,做匀加速运动.

(1)两车相遇位移相等,设乙车运动t秒后两车相遇,则甲、乙两车的位移为

                                

    由于                        

   代人数据解题(舍去),     

(2) 相遇点离出发点的距离为   

(3) 由图知甲车行驶t=4 s时两车速度相等.此时两车距离最大,二者距离为:

              

练习册系列答案
相关题目

违法和不良信息举报电话:027-86699610 举报邮箱:58377363@163.com

精英家教网