题目内容

如图所示,R1和R2是材料相同,厚度相同、表面积为正方形的导体,已知R1的表面积是R2的100倍,通过导体的电流方向如图所示。则这两个导体的电阻关系为(   )

A.R1=100R2              B.R2=100R1  

C.R2=10R1           D.R1=R2 

 

【答案】

D

【解析】

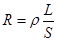
试题分析:据电阻定律有:,由于两个电阻材料相同,均为正方体,两个电阻的阻值之比为:,由于两个电阻的厚度d相同,则有:,所以两个电阻的阻值大小相等,则D选项正确。

考点:本题考查电阻定律。

 

练习册系列答案
相关题目

违法和不良信息举报电话:027-86699610 举报邮箱:58377363@163.com

精英家教网