题目内容
一纯电阻用电器铭牌上标有“20V,4W”,若将该用电器接在u=10(1)该交流电源的频率;(2)该用电器的电阻;(3)该用电器消耗的实际功率.
【答案】分析:交变电流的瞬时表达式可知电流的最大值与频率,同时还知道是正弦式的变化规律.
解答:解:(1)由u=10
sin100πt(V)可知交变电流的角速度为ω=100π
则频率为f=
=50Hz,
(2)纯电阻用电器铭牌上标有“20V,4W”得
,
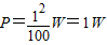
(3)功率为P=
而最大电压为10
V,由于是正弦式规律,所以有效值为10V,
得
故答案为:
(1)50Hz(2)100Ω(3)1W.
点评:纯电阻用电器铭牌上数字是额定值,同时交变电流中碰到的电压、电流及功率均用有效值代入使用.
解答:解:(1)由u=10
则频率为f=
(2)纯电阻用电器铭牌上标有“20V,4W”得
(3)功率为P=
而最大电压为10
得
故答案为:
(1)50Hz(2)100Ω(3)1W.
点评:纯电阻用电器铭牌上数字是额定值,同时交变电流中碰到的电压、电流及功率均用有效值代入使用.
练习册系列答案
相关题目