题目内容

在光滑绝缘的水平面上,用长为2L的绝缘轻杆连接两个质量均为m的带电小球AB.A球的带电量为+2q,B球的带电量为-3q,组成一带电系统,如图所示,虚线MP为AB两球连线的垂直平分线,虚线NQMP平行且相距4L.最初A和B分别静止于虚线MP的两侧,距MP的距离均为L,且A球距虚线NQ的距离为3 L.若视小球为质点,不计轻杆的质量,在虚线MP,NQ间加上水平向右的匀强电场E后,求:

(1)B球刚进入电场时,带电系统的速度大小.

(2)带电系统从开始运动到速度第一次为零所需时间以及B球电势能的变化量.

答案:
解析:

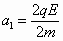
  解:(1)带电系统开始运动时,设加速度为a1,由牛顿第二定律:

    (2分)

  球B刚进入电场时,带电系统的速度为v1,有:

   求得:  (2分)

  (2)对带电系统进行分析,假设球A能达到右极板,电场力对系统做功为W1,有:

  

  故带电系统速度第一次为零时,球A恰好到达右极板Q.  (2分)

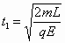
  设球B从静止到刚进入电场的时间为t1,则:

   解得:  (1分)

  球B进入电场后,带电系统的加速度为a2,由牛顿第二定律:

    (2分)

  显然,带电系统做匀减速运动.减速所需时间为t2,则有:

   求得:(2分)

  可知,带电系统从静止到速度第一次为零所需的时间为:

    (1分)

  B球电势能增加了6EqL  (2分)


练习册系列答案
相关题目

违法和不良信息举报电话:027-86699610 举报邮箱:58377363@163.com

精英家教网