题目内容
机械手表中的分针与秒针可视为匀速转动,分针与秒针从第1次重合到第2次重含中间经历的时间为( )A.lmin
B.
C.
D.
【答案】分析:分针的周期为1h,秒针的周期为1min,两者的周期比为T1:T2=60:1,分针与秒针从第1次重合到第2次重合,存在这样的关系ω1t+2π=ω2t,根据该关系求出所经历的时间.
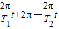
解答:解:分针的周期为1h,秒针的周期为1min,两者的周期比为T1:T2=60:1,分针与秒针从第1次重合到第2次重合有:
ω1t+2π=ω2t,即
,又T1=60T2=60min,所以
.故C正确,A、B、D错误.
故选C.
点评:解决本题的关键知道分针和秒针的周期,以及知道分针与秒针从第1次重合到第2次重合存在这样的关系ω1t+2π=ω2t.
解答:解:分针的周期为1h,秒针的周期为1min,两者的周期比为T1:T2=60:1,分针与秒针从第1次重合到第2次重合有:
ω1t+2π=ω2t,即
故选C.
点评:解决本题的关键知道分针和秒针的周期,以及知道分针与秒针从第1次重合到第2次重合存在这样的关系ω1t+2π=ω2t.
练习册系列答案
相关题目