题目内容
利用超导材料零电阻的性质,可实现无损耗输电,现有一直流电路,输电导线总电阻为0.4Ω,它提供给用电器的电功率是40kW,电压是800V,如果用超导电缆替代原来的输电线,保持供给用电器的功率和电压不变,那么节约的电功率为( )A.1kW
B.1.6×103kW
C.1.6kW
D.10kW
【答案】分析:当输电导线总电阻为0.4Ω,它提供给用电器的电功率是40kW,电压是800V,求出输电线上损失的功率,即为用超导电缆节约的功率.
解答:解:当输电导线总电阻为0.4Ω时,
由P=UI得
I=
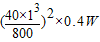
输电线上损失的功率△P=I2R=
=
=1kW
故选A
点评:输电线是纯电阻电路,损失功率可以用三个公式求解,△P=I2R=
,其中△U是输电线上损失的电压,而不是输电电压.
解答:解:当输电导线总电阻为0.4Ω时,
由P=UI得
I=
输电线上损失的功率△P=I2R=
故选A
点评:输电线是纯电阻电路,损失功率可以用三个公式求解,△P=I2R=
练习册系列答案
相关题目