题目内容

宇航员站在一星球表面上的某高处,沿水平方向抛出一个小球.经时间t,小球落到星球表面,测得抛出点与落地点之间的距离为L.若抛出时的初速增大到2倍,则抛出点与落地点之间的距离为L.已知两落地点在同一水平面上,该星球的半径为R,万有引力常数为G.求该星球的质量M.

答案:
解析:

设抛出点的高度为h,第一次平抛的水平射程为x,则有

    ①

由平抛运动规律得知,当初速增大到2倍,其水平射程也增大到2x,可得

    ②

由①、②解得

设该星球上的重力加速度为g,由平抛运动的规律,得

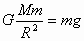
由万有引力定律与牛顿第二定律,得

式中m为小球的质量,联立以上各式,解得


练习册系列答案
相关题目

违法和不良信息举报电话:027-86699610 举报邮箱:58377363@163.com

精英家教网