题目内容
如图所示,在半径为
的水平圆板中心轴正上方高为
处,水平抛出一小球,圆板作匀速转动。当圆板半径
与初速度方向一致时开始抛出小球,要
使球与圆
板只碰一次,且落点为
,则![]()
(1)小球的初速度
应为多大;
(2)圆板转动的角速度为多大?
略
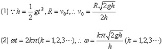
解析![]()
练习册系列答案
相关题目
题目内容
如图所示,在半径为
的水平圆板中心轴正上方高为
处,水平抛出一小球,圆板作匀速转动。当圆板半径
与初速度方向一致时开始抛出小球,要
使球与圆
板只碰一次,且落点为
,则![]()
(1)小球的初速度
应为多大;
(2)圆板转动的角速度为多大?
略
解析![]()