题目内容
如图所示,在光滑绝缘的水平面上,用长为2L的绝缘轻杆连接两个质量均为m的带电小球A和B.A球的带电量为+2q,B球的带电量为-3q,两球组成一带电系统.虚线MN与PQ平行且相距3L,开始时A和B分别静止于虚线MN的两侧,虚线MN恰为AB两球连线的垂直平分线.若视小球为质点,不计轻杆的质量,在虚线MN、PQ间加上水平向右的电场强度为E的匀强电场后.试求:(1)B球刚进入电场时,带电系统的速度大小;
(2)带电系统向右运动的最大距离和此过程中B球电势能的变化量;
(3)带电系统运动的周期.
【答案】分析:(1)对系统运用动能定理,根据动能定理求出B球刚进入电场时,带电系统的速度大小.
(2)带电系统经历了三个阶段,:B球进入电场前、带电系统在电场中、A球出电场,根据动能定理求出A球离开PQ的最大位移,从而求出带电系统向右运动的最大距离.根据B球在电场中运动的位移,求出电场力做的功,从而确定B球电势能的变化量.
(3)根据运动学公式和牛顿第二定律分别求出带电系统B球进入电场前做匀加速直线运动的时间,带电系统在电场中做匀减速直线运动的时间,A球出电场带电系统做匀减速直线运动的时间,从而求出带电系统从静止开始向右运动再次速度为零的时间,带电系统的运动周期为该时间的2倍.
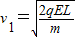
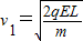
解答:解:(1)设B球刚进入电场时带电系统电度为v1,由动能定理得
解得
(2)带电系统向右运动分三段:B球进入电场前、带电系统在电场中、A球出电场.
设A球离开PQ的最大位移为x,由动能定理得2qEL-qEL-3qEx=0
解得
则
B球从刚进入电场到带电系统从开始运动到速度第一次为零时位移为
其电势能的变化量为
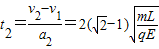
(3)向右运动分三段,取向右为正方向,
第一段加速
,
第二段减速
设A球出电场电速度为v2,由动能定理得
解得

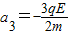
第三段再减速则其加速度a3及时间t3为:
,
所以带电系统运动的周期为:
.
答:(1)B球刚进入电场时,带电系统的速度大小为
.
(2)带电系统向右运动的最大距离为
,B球电势能的变化量为4qEL.
(3)带电系统运动的周期
.
点评:解决本题的关键理清带电系统在整个过程中的运动情况,结合牛顿第二定律、动能定理和运动学公式综合求解.
(2)带电系统经历了三个阶段,:B球进入电场前、带电系统在电场中、A球出电场,根据动能定理求出A球离开PQ的最大位移,从而求出带电系统向右运动的最大距离.根据B球在电场中运动的位移,求出电场力做的功,从而确定B球电势能的变化量.
(3)根据运动学公式和牛顿第二定律分别求出带电系统B球进入电场前做匀加速直线运动的时间,带电系统在电场中做匀减速直线运动的时间,A球出电场带电系统做匀减速直线运动的时间,从而求出带电系统从静止开始向右运动再次速度为零的时间,带电系统的运动周期为该时间的2倍.
解答:解:(1)设B球刚进入电场时带电系统电度为v1,由动能定理得
解得
(2)带电系统向右运动分三段:B球进入电场前、带电系统在电场中、A球出电场.
设A球离开PQ的最大位移为x,由动能定理得2qEL-qEL-3qEx=0
解得
B球从刚进入电场到带电系统从开始运动到速度第一次为零时位移为
其电势能的变化量为
(3)向右运动分三段,取向右为正方向,
第一段加速
第二段减速
设A球出电场电速度为v2,由动能定理得
解得
第三段再减速则其加速度a3及时间t3为:
所以带电系统运动的周期为:
答:(1)B球刚进入电场时,带电系统的速度大小为
(2)带电系统向右运动的最大距离为
(3)带电系统运动的周期
点评:解决本题的关键理清带电系统在整个过程中的运动情况,结合牛顿第二定律、动能定理和运动学公式综合求解.
练习册系列答案
相关题目
| A、小球P的带电量缓慢减小,则它往复运动过程中振幅不断减小 | B、小球P的带电量缓慢减小,则它往复运动过程中每次经过O点时的速率不断减小 | C、点电荷M、N的带电量同时等量地缓慢增大,则小球P往复运动过程中周期不断减小 | D、点电荷M、N的带电量同时等量地缓慢增大,则小球P往复运动过程中振幅不断减小 |