ÌâÄ¿ÄÚÈÝ

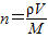
ÈçͼËùʾ£¬Ä³ÖÖ×Ô¶¯Ï´Ò»ú½øË®Ê±£¬Ï´Ò»ú¸×ÄÚˮλÉý¸ß£¬ÓëÏ´Ò¸×ÏàÁ¬µÄϸ¹ÜÖлá·â±ÕÒ»¶¨ÖÊÁ¿µÄ¿ÕÆø£¬Í¨¹ýѹÁ¦´«¸ÐÆ÷¸ÐÖª¹ÜÖÐµÄ¿ÕÆøÑ¹Á¦£¬´Ó¶ø¿ØÖƽøË®Á¿£®
£¨1£©µ±Ï´Ò¸×ÄÚˮλ»ºÂýÉý¸ßʱ£¬Éèϸ¹ÜÄÚ¿ÕÆøÎ¶Ȳ»±ä£¬Ôò±»·â±ÕµÄ¿ÕÆø______
A£®·Ö×Ó¼äµÄÒýÁ¦ºÍ³âÁ¦¶¼Ôö´ó
B£®·Ö×ÓµÄÈÈÔ˶¯¼Ó¾ç
C£®·Ö×ӵį½¾ù¶¯ÄÜÔö´ó
D£®Ìå»ý±äС£¬Ñ¹Ç¿±ä´ó
£¨2£©ÈôÃÜ±ÕµÄ¿ÕÆø¿ÉÊÓΪÀíÏëÆøÌ壬ÔÚÉÏÊö£¨1£©ÖÐ¿ÕÆøÌå»ý±ä»¯µÄ¹ý³ÌÖУ¬Íâ½ç¶Ô¿ÕÆø×ö0£¬6JµÄ¹¦£¬Ôò¿ÕÆø______£¨Ñ¡Ìî¡°ÎüÊÕ¡±»ò¡°·Å³ö¡±£©ÁË______JµÄÈÈÁ¿£»µ±Ï´ÍêÒ·þ¸×ÄÚˮλѸËÙ½µµÍʱ£¬Ôò¿ÕÆøµÄÄÚÄÜ______£¨Ñ¡Ìî¡°Ôö¼Ó¡±»ò¡°¼õС¡±£©£®
£¨3£©ÈôÃÜ±ÕµÄ¿ÕÆøÌå»ýV=1L£¬ÃܶȦÑ=1.29kg/m3£¬Æ½¾ùĦ¶ûÖÊÁ¿M=0.029kg/mol£¬°¢·ü¼ÓµÂÂÞ³£ÊýNA=6.02×1023mol-1£¬ÊÔ¹ÀËã¸ÃÆøÌå·Ö×ÓµÄ×ܸöÊý£¨½á¹û±£ÁôһλÓÐЧÊý×Ö£©£®

¡¾´ð°¸¡¿·ÖÎö£º£¨1£©Ï´Ò¸×ÄÚˮλ»ºÂýÉý¸ß£¬Ï¸¹ÜÄÚ¿ÕÆøÑ¹Ç¿Ôö´ó£¬¸ù¾ÝÆøÌ¬·½³Ì¿ÉÒÔÅжϳöÆäÌå»ý±ä»¯Çé¿ö£¬´Ó¶øÕýÈ·½â´ð±¾Ì⣮
£¨2£©Ã÷È·ÁËÆøÌå×ö¹¦Çé¿ö£¬¸ù¾ÝÈÈÁ¦Ñ§µÚÒ»¶¨ÂÉ¿ÉÕýÈ·½â´ð£®
£¨3£©Çó³ö±»·â±ÕÆøÌåµÄÖÊÁ¿ºÍÎïÖʵÄÁ¿£¬¼´¿ÉÇó³öÆøÌåµÄ·Ö×ÓÊýÄ¿£®
½â´ð£º½â£º£¨1£©Ë®Î»Éý¸ß£¬Ñ¹Ç¿Ôö´ó£¬±»·â±ÕÆøÌå×öµÈα仯£¬¸ù¾ÝÀíÏëÆøÌå״̬·½³Ì¿ÉÖª£¬ÆøÌåÌå»ý¼õС£¬·Ö×ÓÖ®¼ä¾àÀë¼õС£¬Òò´ËÒýÁ¦ºÍ³âÁ¦¶¼Ôö´ó£¬¹ÊADÕýÈ·£»
ÆøÌåζȲ»±ä£¬Òò´Ë·Ö×ÓµÄÈÈÔ˶¯Çé¿ö²»±ä£¬·Ö×ÓÆ½¾ù¶¯Äܲ»±ä£¬¹ÊBC´íÎó£®
¹ÊÑ¡AD£®
£¨2£©ÔÚ£¨1£©ÖÐ¿ÕÆøÌå»ý±ä»¯µÄ¹ý³ÌÖУ¬ÆøÌåζȲ»±ä£¬ÄÚÄܲ»±ä£¬Íâ½ç¶ÔÆøÌå×ö¹¦£¬¸ù¾ÝÈÈÁ¦Ñ§µÚÒ»¶¨ÂÉ¿ÉÖª£¬ÆøÌå·Å³öÈÈÁ¿£»ÈôˮλѸËÙ½µµÍ£¬Ñ¹Ç¿ÔòѸËÙ¼õС£¬Ìå»ýѸËÙÅòÕÍ£¬ÆøÌå¶ÔÍâ×ö¹¦£¬ÓÉÓÚ¹ý³ÌѸËÙ£¬Ã»ÓÐÀ´µÃ¼°Îü·ÅÈÈ£¬Òò´ËÄÚÄܽµµÍ£®
¹Ê´ð°¸Îª£º·Å³ö£¬0.6£¬¼õС£®
£¨3£©ÎïÖʵÄÁ¿Îª£º£¬
·Ö×Ó×ÜÊý£º 
´úÈëÊý¾ÝµÃ£ºN=2.68×1022¡Ö3×1022£®
¹Ê¸ÃÆøÌå·Ö×ÓµÄ×ܸöÊýΪ£ºN=2.68×1022¡Ö3×1022£®
µãÆÀ£º±¾Ì⿼²éÁËÈÈѧµÄÓйػù´¡ÖªÊ¶£¬±È½Ï¼òµ¥£¬×¢ÒâÀíÏëÆøÌå״̬·½³ÌºÍÈÈÁ¦Ñ§µÚÒ»¶¨ÂɵÄÓ¦Óã®
Á·Ï°²áϵÁдð°¸
Ïà¹ØÌâÄ¿
£¨Ñ¡×öÌ⣩£¨Çë´ÓA¡¢BºÍCÈýСÌâÖÐÑ¡¶¨Á½Ð¡Ìâ×÷´ð£¬²¢ÔÚ´ðÌ⿨ÏàÓ¦µÄ´ðÌâÇøÓòÄÚ×÷´ð£¬Èç¶¼×÷´ðÔò°´A¡¢BÁ½Ð¡ÌâÆÀ·Ö£©
A£®£¨Ñ¡ÐÞÄ£¿é3-3£©
ÈçͼËùʾ£¬Ä³ÖÖ×Ô¶¯Ï´Ò»ú½øË®Ê±£¬Ï´Ò»ú¸×ÄÚˮλÉý¸ß£¬ÓëÏ´Ò¸×ÏàÁ¬µÄϸ¹ÜÖлá·â±ÕÒ»¶¨ÖÊÁ¿µÄ¿ÕÆø£¬Í¨¹ýѹÁ¦´«¸ÐÆ÷¸ÐÖª¹ÜÖÐµÄ¿ÕÆøÑ¹Á¦£¬´Ó¶ø¿ØÖƽøË®Á¿£®
£¨1£©µ±Ï´Ò¸×ÄÚˮλ»ºÂýÉý¸ßʱ£¬Éèϸ¹ÜÄÚ¿ÕÆøÎ¶Ȳ»±ä£¬
Ôò±»·â±ÕµÄ¿ÕÆø
AD
AD

A£®·Ö×Ó¼äµÄÒýÁ¦ºÍ³âÁ¦¶¼Ôö´ó
B£®·Ö×ÓµÄÈÈÔ˶¯¼Ó¾ç
C£®·Ö×ӵį½¾ù¶¯ÄÜÔö´ó
D£®Ìå»ý±äС£¬Ñ¹Ç¿±ä´ó
£¨2£©ÈôÃÜ±ÕµÄ¿ÕÆø¿ÉÊÓΪÀíÏëÆøÌ壬ÔÚÉÏÊö£¨1£©ÖÐ¿ÕÆøÌå»ý±ä»¯µÄ¹ý³ÌÖУ¬Íâ½ç¶Ô¿ÕÆø×öÁË
0.6JµÄ¹¦£¬Ôò¿ÕÆø
·Å³ö
·Å³ö
£¨Ñ¡Ìî¡°ÎüÊÕ¡±»ò¡°·Å³ö¡±£©ÁË
0.6
0.6
JµÄÈÈÁ¿£»µ±Ï´ÍêÒ·þ¸×ÄÚ
ˮλѸËÙ½µµÍʱ£¬Ôò¿ÕÆøµÄÄÚÄÜ
¼õС
¼õС
£¨Ñ¡Ìî¡°Ôö¼Ó¡±»ò¡°¼õС¡±£©£®
£¨3£©ÈôÃÜ±ÕµÄ¿ÕÆøÌå»ýV=1L£¬ÃܶȦÑ=1.29kg/m3£¬Æ½¾ùĦ¶ûÖÊÁ¿M=0.029kg/mol£¬°¢·ü¼ÓµÂÂÞ³£ÊýNA=6.02¡Á1023mol-1£¬ÊÔ¹ÀËã¸ÃÆøÌå·Ö×ÓµÄ×ܸöÊý£¨½á¹û±£ÁôһλÓÐЧÊý×Ö£©£®
B£®£¨Ñ¡ÐÞÄ£¿é3-4£©
£¨1£©ÏÂÁÐ˵·¨ÕýÈ·µÄÊÇ
BC
BC

A£®¹âµÄÆ«ÕñÏÖÏó˵Ã÷¹âÊÇ×ݲ¨
B£®È«Ï¢ÕÕÏàÀûÓÃÁ˼¤¹âÏà¸ÉÐԺõÄÌØÐÔ
C£®¹âµ¼ÏËά´«²¥¹âÐźÅÀûÓÃÁ˹âµÄÈ«·´ÉäÔ­Àí
D£®¹âµÄË«·ì¸ÉÉæÊµÑéÖУ¬Èô½ö½«ÈëÉä¹â´Óºì¹â¸ÄΪ×Ϲ⣬ÔòÏàÁÚÁÁÌõÎÆ¼ä¾àÒ»¶¨±ä´ó
£¨2£©Èçͼ1ËùʾÊÇÒ»ÁÐÑØxÖáÕý·½Ïò´«²¥µÄ¼òгºá²¨ÔÚt=0ʱ¿ÌµÄ²¨ÐÎͼ£¬²¨µÄ´«²¥ËÙ¶Èv=2m/s£¬ÊԻشðÏÂÁÐÎÊÌ⣺
¢Ùx=4m´¦ÖʵãµÄÕñ¶¯º¯Êý±í´ïʽy=
-5sin¦Ðt
-5sin¦Ðt
cm£»
¢Úx=5m´¦ÖʵãÔÚ0¡«4.5sÄÚͨ¹ýµÄ·³Ìs=
45
45
cm£®
£¨3£©Èçͼ2Ëùʾ£¬Ö±½ÇÈý½ÇÐÎABCΪһÈýÀâ¾µµÄºá½ØÃ棬
¡ÏA=30¡ã£®Ò»Êøµ¥É«¹â´Ó¿ÕÆøÉäÏòBCÉϵÄEµã£¬²¢
Æ«ÕÛµ½ABÉϵÄFµã£¬¹âÏßEFƽÐÐÓÚµ×±ßAC£®ÒÑ
ÖªÈëÉä·½ÏòÓëBCµÄ¼Ð½ÇΪ¦È=30¡ã£®ÊÔͨ¹ý¼ÆËãÅжϹâÔÚFµãÄÜ·ñ·¢ÉúÈ«·´É䣮
C£®£¨Ñ¡ÐÞÄ£¿é3-5£©
£¨1£©ÈçͼËùʾ£¬Ð¡³µÓëľÏä½ô°¤×ž²·ÅÔڹ⻬µÄˮƽ±ùÃæÉÏ£¬ÏÖÓÐÒ»Äк¢Õ¾ÔÚС³µÉÏÓÃÁ¦ÏòÓÒѸËÙÍÆ³öľÏ䣬¹ØÓÚÉÏÊö¹ý³Ì£¬ÏÂÁÐ˵·¨ÖÐÕýÈ·µÄÊÇ
C
C

A£®Äк¢ºÍľÏä×é³ÉµÄϵͳ¶¯Á¿Êغã
B£®Ð¡³µÓëľÏä×é³ÉµÄϵͳ¶¯Á¿Êغã
C£®Äк¢¡¢Ð¡³µÓëľÏäÈýÕß×é³ÉµÄϵͳ¶¯Á¿Êغã
D£®Ä¾ÏäµÄ¶¯Á¿ÔöÁ¿ÓëÄк¢¡¢Ð¡³µµÄ×ܶ¯Á¿ÔöÁ¿Ïàͬ
£¨2£©ÈôÇâÔ­×ӵĻù̬ÄÜÁ¿ÎªE£¨E£¼0 £©£¬¸÷¸ö¶¨Ì¬µÄÄÜÁ¿ÖµÎªEn=E/n2£¨n=1£¬2£¬3¡­£©£¬ÔòΪʹһ´¦ÓÚ»ù̬µÄÇâÔ­×ÓºËÍâµç×ÓÍÑÀëÔ­×Ӻ˵ÄÊø¸¿£¬ËùÐèµÄ×îСÄÜÁ¿Îª
-E
-E
£»ÈôÓÐһȺ´¦ÓÚn=2Äܼ¶µÄÇâÔ­×Ó£¬·¢ÉúԾǨʱÊͷŵĹâ×ÓÕÕÉäij½ðÊôÄܲúÉú¹âµçЧӦÏÖÏó£¬Ôò¸Ã½ðÊôµÄÒݳö¹¦ÖÁ¶àΪ
-
3
4
E
-
3
4
E
£¨½á¹û¾ùÓÃ×Öĸ±íʾ£©£®
£¨3£©ÔÚijЩºãÐÇÄÚ£¬3¸ö¦ÁÁ£×Ó¿ÉÒÔ½áºÏ³ÉÒ»¸ö612CºË£¬ÒÑÖª612CºËµÄÖÊÁ¿Îª1.99502¡Á10-26kg£¬¦ÁÁ£×ÓµÄÖÊÁ¿Îª6.64672¡Á10-27kg£¬Õæ¿ÕÖеĹâËÙc=3¡Á108m/s£¬¼ÆËãÕâ¸ö·´Ó¦ÖÐËùÊͷŵĺËÄÜ£¨½á¹û±£ÁôһλÓÐЧÊý×Ö£©£®

Î¥·¨ºÍ²»Á¼ÐÅÏ¢¾Ù±¨µç»°£º027-86699610 ¾Ù±¨ÓÊÏ䣺58377363@163.com

¾«Ó¢¼Ò½ÌÍø