ÌâÄ¿ÄÚÈÝ
Ò»Á¾ÖÊÁ¿ÎªmµÄÆû³µÔÚ·¢¶¯»úÇ£ÒýÁ¦FµÄ×÷ÓÃÏ£¬ÑØË®Æ½·½ÏòÔ˶¯£®ÔÚtʱ¿Ì¹Ø±Õ·¢¶¯»ú£¬ÆäÔ˶¯µÄv-tͼÏóÈçͼËùʾ£®ÒÑÖªÆû³µÐÐÊ»¹ý³ÌÖÐËùÊܵÄ×èÁ¦ÊÇÆû³µÖØÁ¿µÄk±¶£¬Ôò£¨ £©A£®¼ÓËÙ¹ý³ÌÓë¼õËÙ¹ý³ÌµÄƽ¾ùËٶȱÈΪ1£º2
B£®¼ÓËÙ¹ý³ÌÓë¼õËÙ¹ý³ÌµÄÎ»ÒÆ´óС֮±ÈΪ1£º2
C£®Æû³µÇ£ÒýÁ¦FÓëËùÊÜ×èÁ¦´óС±ÈΪ3£º1
D£®Æû³µÇ£ÒýÁ¦F×öµÄ¹¦Óë×èÁ¦¹¦Ö®±ÈΪ1£»3
¡¾´ð°¸¡¿·ÖÎö£º¸ù¾ÝËÙ¶Èʱ¼äͼÏßÇó³ö¼ÓËٽ׶κͼõËٽ׶εÄÎ»ÒÆÖ®±È£¬´Ó¶øÇó³öƽ¾ùËÙ¶ÈÖ®±È£®¸ù¾ÝͼÏßÇó³ö¼ÓËÙ¶ÈÖ®±È£®¸ù¾Ý¶ÔÈ«³ÌÔËÓö¯Äܶ¨Àí£¬Çó³öÇ£ÒýÁ¦Óë×èÁ¦×ö¹¦Ö®±È£¬´Ó¶øµÃ³öÇ£ÒýÁ¦Óë×èÁ¦Ö®±È£®
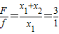
½â´ð£º½â£ºA¡¢Í¼ÏßÓëʱ¼äÖáΧ³ÉµÄÃæ»ý±íÊ¾Î»ÒÆ£¬Öª¼ÓËٽ׶κͼõËٽ׶ξÀúµÄÎ»ÒÆÖ®±Èx1£ºx2=1£º2£®ËùÒÔµÄʱ¼äÖ®±ÈΪ1£º2£¬ÒòΪƽ¾ùËÙ¶È
£¬Ôòƽ¾ùËÙ¶ÈÖ®±ÈΪ1£º1£®¹ÊA´íÎó£¬BÕýÈ·£®
C¡¢¸ù¾Ý¶¯Äܶ¨ÀíµÃ£¬Fx1-f£¨x1+x2£©=0£¬ÔòÇ£ÒýÁ¦×ö¹¦ºÍÕû¸ö¹ý³Ì¿Ë·þ×èÁ¦×ö¹¦ÏàµÈ£¬Ôò
£®¹ÊCÕýÈ·£¬D´íÎó£®
¹ÊÑ¡BC£®
µãÆÀ£º½â¾ö±¾ÌâµÄ¹Ø¼üÄܹ»´ÓËÙ¶Èʱ¼äͼÏߵóö¼ÓËٽ׶κͼõËٽ׶εÄÎ»ÒÆÖ®±È£¬ÔËÓö¯Äܶ¨Àí½øÐзÖÎö£®
½â´ð£º½â£ºA¡¢Í¼ÏßÓëʱ¼äÖáΧ³ÉµÄÃæ»ý±íÊ¾Î»ÒÆ£¬Öª¼ÓËٽ׶κͼõËٽ׶ξÀúµÄÎ»ÒÆÖ®±Èx1£ºx2=1£º2£®ËùÒÔµÄʱ¼äÖ®±ÈΪ1£º2£¬ÒòΪƽ¾ùËÙ¶È
C¡¢¸ù¾Ý¶¯Äܶ¨ÀíµÃ£¬Fx1-f£¨x1+x2£©=0£¬ÔòÇ£ÒýÁ¦×ö¹¦ºÍÕû¸ö¹ý³Ì¿Ë·þ×èÁ¦×ö¹¦ÏàµÈ£¬Ôò
¹ÊÑ¡BC£®
µãÆÀ£º½â¾ö±¾ÌâµÄ¹Ø¼üÄܹ»´ÓËÙ¶Èʱ¼äͼÏߵóö¼ÓËٽ׶κͼõËٽ׶εÄÎ»ÒÆÖ®±È£¬ÔËÓö¯Äܶ¨Àí½øÐзÖÎö£®
Á·Ï°²áϵÁдð°¸
Ïà¹ØÌâÄ¿
Ò»Á¾ÖÊÁ¿ÎªmµÄÆû³µÔÚ·¢¶¯»úÇ£ÒýÁ¦FµÄ×÷ÓÃÏ£¬ÑØË®Æ½·½ÏòÔ˶¯¡£ÔÚt0ʱ¿Ì¹Ø±Õ·¢¶¯»ú£¬ÆäÔ˶¯µÄv-tͼÏóÈçͼËùʾ¡£ÒÑÖªÆû³µÐÐÊ»¹ý³ÌÖÐËùÊܵÄ×èÁ¦ÊÇÆû³µÖØÁ¿µÄk±¶£¬Ôò£¨ £©![]()
| A£®¼ÓËÙ¹ý³ÌÓë¼õËÙ¹ý³ÌµÄƽ¾ùËٶȱÈΪ1£º2 |
| B£®¼ÓËÙ¹ý³ÌÓë¼õËÙ¹ý³ÌµÄÎ»ÒÆ´óС֮±ÈΪ1£º2 |
| C£®Æû³µÇ£ÒýÁ¦FÓëËùÊÜ×èÁ¦´óС±ÈΪ3£º1 |
| D£®Æû³µÇ£ÒýÁ¦F×öµÄ¹¦Îª |