题目内容
如图所示,质量为m的小球用长为L的轻质不可伸长细绳悬挂于固定点O,与O点处于同一水平线上的P点有一固定光滑钉子,已知OP=L/2,要使小球能到达跟P点在同一竖直线的最高点B,求:
(1)小球在A点至少以多大的水平速度向左抛出?
(2)在(1)情况下,小球从A点抛出时,小球对细绳拉力大小?
答案:
解析:
解析:
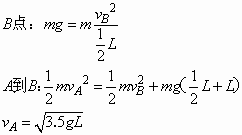
|
解:(1) |
练习册系列答案
相关题目
| A、地面对楔形物块的支持力为(M+m)g | B、地面对楔形物块的摩擦力为零 | C、楔形物块对小物块摩擦力可能为零 | D、小物块一定受到四个力作用 |