题目内容

如图所示,真空中有一沿X轴正方向的匀强电场,一质量为m、电量为q的带电微粒从坐标原点O沿OP方向以速度v0射入电场,它恰能沿直线OP运动,在A点微粒速度变为零.已知OP与X轴的夹角为45°,重力加速度g.试求:

(1)

微粒的带电性

(2)

匀强电场的场强

(3)

O、A两点间的电势差

答案:
解析:

(1)

微粒做减速直线运动,电场力F必与场强E相反,故微粒带负电

(2)

若场强为E,则由几何关系有:

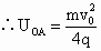
(3)

设OA沿E的方向的距离为d,由动能定理有:


练习册系列答案
相关题目

违法和不良信息举报电话:027-86699610 举报邮箱:58377363@163.com

精英家教网