题目内容

(14分)如图所示,直角坐标系中,M点的横坐标区域内,有竖直向下的匀强电场;N点的横坐标以N为圆心、r为半径的圆内及圆边界上有垂直于纸面向里的匀强磁场.P为磁场边界上一点.NP与竖直方向的夹角.从M点沿轴正方向发射一质量为m、电荷量为q的带负电粒子,粒子速度大小为,粒子沿过P点的切线方向射出电场。后经P点进人磁场运动且经过N点,不计粒子重力,求:

(1)匀强电场的电场强度E;

(2)勾强磁场的磁感应强度B;

(3)粒子从M点到第一次经过N点所用的时间t.

 

【答案】

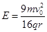
(1);(2);(3)

【解析】

试题分析:(1)粒子运动轨迹如图所示,

由几何关系可知,粒子射出电场的偏转角为

粒子在电场中竖直方向的速度       ①

        ②

         ③

          ④

(2)设粒子进入磁场的速度为

在磁场中做圆周运动的半径为r1        ⑤

由几何关系得:        ⑥

由牛顿第二定律得:        ⑦

         ⑧

(3)电场中的时间          ⑨

射出电场匀速运动的时间        ⑩

        ⑾

粒子从P到N所用时间       ⑿

       ⒀

粒子从M到N所用时间         ⒁

本题共14分,每式1分

考点:带电粒子在磁场中的运动,牛顿第二定律

 

练习册系列答案
相关题目

违法和不良信息举报电话:027-86699610 举报邮箱:58377363@163.com

精英家教网