题目内容

如图所示,3条平行导轨MN、CD.EF在同一平面内,MNCD相距为d1=8.3cm,CDEF相距为d2=20.0cm,导轨及导体杆的电阻忽略不计,M、E间连接电阻R1=10Ω,N、D间连接电阻R2=20Ω.导体杆ab横跨在3条导轨上,与三条导轨都接触良好,杆的a端到与EF接触的b点间的距离l=40.0cm.空间充满匀强磁场,磁感应强度大小为B=0.5T,方向如图示.

(1)若导体杆在匀强磁场中匀速向右运动,速度大小为v=4.0m/s,求通过电阻R1R2的电流大小.

(2)若导体杆以b为轴,在导轨所在的平面内沿顺时针方向转动90°角(导轨MNCD都足够长),求这过程中电流方向向下的通过电阻R1R2的电荷量的大小.

答案:
解析:

解:(1)导体杆在向右匀速运动过程中,构成两个闭合电路,一个是MNEF间的杆、导轨及电阻R1;另一个是CDEF间的杆、导轨及电阻R2.电流分别为

(2)在穿过闭合电路的磁通量发生变化的过程中,感应电动势的平均值,感应电流的平均值

通过电路某截面的总电量

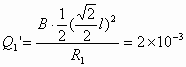
a端转至与MN相交之前,通过电阻R1R2的电流方向都是向下,流过它们的电量分别是C;C.C.

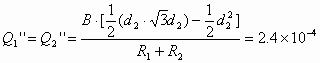
a端从与MN相交转至与EF相交的过程中,电阻R1R2串联,通过R1的电流方向仍为向下,而通过R2的电流方向是向上.流过它们的电量相等,是

C.

对电阻R1来说,两阶段电流方向相同,因此Q1=Q1′+Q1″=2.24×10-3C;

对电阻R2来说,两阶段电流方向相反,因此Q2=Q2′-Q2″=2.6×10-4C.


练习册系列答案
相关题目

违法和不良信息举报电话:027-86699610 举报邮箱:58377363@163.com

精英家教网