题目内容
(1)如图1所示是某同学《研究匀变速直线运动》的实验装置,若在图示状态下开始做实验,请从该同学的装置和操作中指出存在的问题或错误①______.
②______.
③______.
(2)速度的大小表达式是vA=______,用逐差法求小车运动的加速度表达式为a=______(用T、S1、S2、S3、S4、S5、S6表示).
【答案】分析:(1)只要明确实验原理,了解各个实验的操作细节和注意事项即可正确解答;
(2)根据匀变速直线运动的推论公式△x=aT2可以求出加速度的大小,根据匀变速直线运动中时间中点的速度等于该过程中的平均速度,可以求出打纸带上A点时小车的瞬时速度大小.
解答:解:(1)安装仪器时我们需要注意:①应将电池改为交流电;②释放小车时应让小车从靠近计时器处释放,在纸带上打上尽量多的点;③左端连接的细线应与木板平行,保证拉力在小车前进的方向上
故错误之处有:①应将电池改为交流电;②小车应靠近打点计时器端;③左端连接的细线应与木板平行
(2)根据匀变速直线运动中时间中点的速度等于该过程中的平均速度,
得:VA=
根据匀变速直线运动的推论公式△x=aT2
得:a1=
a2=
a3=
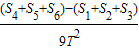
小车运动的加速度表达式为a=
=
故答案为:(1)①应将电池改为交流电;②小车应靠近打点计时器端;③左端连接的细线应与木板平行
(2)
,
点评:实验时需要注意的问题我们可以结合实验原理记忆,明确实验原理是处理实验题的重中之重,从纸带上求解速度和加速度是处理纸带的两个主要问题,一定要熟练掌握.
(2)根据匀变速直线运动的推论公式△x=aT2可以求出加速度的大小,根据匀变速直线运动中时间中点的速度等于该过程中的平均速度,可以求出打纸带上A点时小车的瞬时速度大小.
解答:解:(1)安装仪器时我们需要注意:①应将电池改为交流电;②释放小车时应让小车从靠近计时器处释放,在纸带上打上尽量多的点;③左端连接的细线应与木板平行,保证拉力在小车前进的方向上
故错误之处有:①应将电池改为交流电;②小车应靠近打点计时器端;③左端连接的细线应与木板平行
(2)根据匀变速直线运动中时间中点的速度等于该过程中的平均速度,
得:VA=
根据匀变速直线运动的推论公式△x=aT2
得:a1=
a2=
a3=
小车运动的加速度表达式为a=
故答案为:(1)①应将电池改为交流电;②小车应靠近打点计时器端;③左端连接的细线应与木板平行
(2)
点评:实验时需要注意的问题我们可以结合实验原理记忆,明确实验原理是处理实验题的重中之重,从纸带上求解速度和加速度是处理纸带的两个主要问题,一定要熟练掌握.
练习册系列答案
相关题目