题目内容

一物体沿斜面向上滑动时动能每减少1J势能就增加0.75J,当物体沿此斜面下滑时,动能每增加1J势能就减少________.

答案:1.5J
解析:

显然物体沿斜面上滑时,物体受重力、支持力、滑动摩擦力(设大小为f)

三个力作用,设上滑时动能减少1J运动距离为x,下滑时动能减少1J运动距离为,根据动能定理,重力做功与重力势能变化关系得:

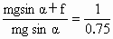
    ①

    ② 求解是关键

    ③

由①、②得,即mgsinα=3f,把代入③式,即,这就是下滑距离即动能增加1J时重力做的功,等于重力势能的减少量.


练习册系列答案
相关题目

违法和不良信息举报电话:027-86699610 举报邮箱:58377363@163.com

精英家教网