题目内容
某物体质量为m,在光滑水平面上与运动方向相同的恒力F的作用下,发生一段位移L,速度由v1增加到v2.(1)试从牛顿定律出发,导出动能定理的表达式.
(2)运用动能定理解答下面问题,有一质量m=2kg的物体,置于水平面上,在水平恒力F=8N的作用下,使物体由静止开始运动,经过x=4m后,撤去F,问物体还能运动多长距离?已知物体与水平面间动摩擦因数为μ=0.2.(g取10m/s2)
【答案】分析:(1)根据牛顿第二定律和速度-位移关系公式列式后约去加速度即可得到动能定理表达式;
(2)对全过程运用动能定理求解物体还能运动多长距离.
解答:解:(1)物体在恒力F作用下做匀加速运动,这个过程力F做的功为:W=FL
根据牛顿第二定律得:F=ma
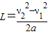
而由运动学公式得:
即:
把F、L的表达式代入W=FL得:
也就是:
,此式即为动能定理的表达式.
(2)对全过程,由动能定理:Fx-μmg(x+L)=0
得:
答:(1)导出的动能定理的表达式是
.
(2)物体还能运动4m距离.
点评:本题要掌握动能定理是由牛顿第二定律和速度-位移关系公式二合一推导出来的,应用动能定理时,要灵活选择研究过程,常有全程法和分段法两种选择方法.
(2)对全过程运用动能定理求解物体还能运动多长距离.
解答:解:(1)物体在恒力F作用下做匀加速运动,这个过程力F做的功为:W=FL
根据牛顿第二定律得:F=ma
而由运动学公式得:
即:
把F、L的表达式代入W=FL得:
也就是:
(2)对全过程,由动能定理:Fx-μmg(x+L)=0
得:
答:(1)导出的动能定理的表达式是
(2)物体还能运动4m距离.
点评:本题要掌握动能定理是由牛顿第二定律和速度-位移关系公式二合一推导出来的,应用动能定理时,要灵活选择研究过程,常有全程法和分段法两种选择方法.
练习册系列答案
相关题目