题目内容

如图所示,A是地球的同步卫星,另一卫星B的圆形轨道位于赤道平面内,离地面高度为九.已知地球半径为R,地球自转角速度为,地球表面的重力加速度为g,O为地球中心.

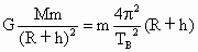
(1)求卫星B的运行周期.

(2)如卫星B绕行方向与地球自转方向相同,某时刻A、B两卫星相距最近(O、B、A在同一直线上),则至少经过多长时间,它们再一次相距最近?

答案:略
解析:

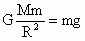
(1)

(2)

(1)由万有引力定律和向心力公式得

联立以上两式得

(2)由题意得

联立解得:


练习册系列答案
相关题目

违法和不良信息举报电话:027-86699610 举报邮箱:58377363@163.com

精英家教网