题目内容
“嫦娥一号”月球探测器在环绕月球运行过程中,设探测器运行的轨道半径为r,运行速率为v,当探测器在飞越月球上一些环形山中的质量密集区上空时( )A.r、v都将略为减小
B.r、v都将保持不变
C.r将略为减小,v将略为增大
D.r将略为增大,v将略为减小
【答案】分析:当探测器在飞越月球上一些环形山中的质量密集区上空时,地球的重心上移,导致轨道半径减小,根据万有引力提供向心力判断速率的变化.
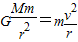
解答:解:当探测器在飞越月球上一些环形山中的质量密集区上空时,月球的重心上移,轨道半径减小,根据
,解得v=
,r减小,则v增大.故C正确,A、B、D错误.
故选C.
点评:解决本题的关键掌握万有引力提供向心力
.
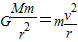
解答:解:当探测器在飞越月球上一些环形山中的质量密集区上空时,月球的重心上移,轨道半径减小,根据
故选C.
点评:解决本题的关键掌握万有引力提供向心力
练习册系列答案
相关题目