ÌâÄ¿ÄÚÈÝ

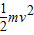
ij´Î¡°ÑéÖ¤»úеÄÜÊØºã¶¨ÂÉ¡±µÄʵÑéÖУ¬ÓÃ6V¡¢50HzµÄ´òµã¼ÆÊ±Æ÷´ò³öµÄÒ»ÌõÎÞ©µãµÄÖ½´ø£¬ÈçͼËùʾ£¬OµãÎªÖØ´¸ÏÂÂäµÄÆðµã£¬Ñ¡È¡µÄ¼ÆÊýµãΪA¡¢B¡¢C¡¢D£¬¸÷¼ÆÊýµãµ½OµãµÄ³¤¶ÈÒÑÔÚͼÉϱê³ö£¬µ¥Î»ÎªºÁÃ×£¬ÖØÁ¦¼ÓËÙ¶ÈÈ¡9.8m/s2£¬ÈôÖØ´¸ÖÊÁ¿Îª1kg£®

£¨1£©´òµã¼ÆÊ±Æ÷´ò³öBµãʱ£¬ÖØ´¸ÏÂÂäµÄËÙ¶ÈvB=    m/s£¬ÖØ´¸µÄ¶¯ÄÜEkB=    J£®
£¨2£©´Ó¿ªÊ¼ÏÂÂäËãÆð£¬´òµã¼ÆÊ±Æ÷´òBµãʱ£¬ÖØ´¸µÄÖØÁ¦ÊÆÄܼõСÁ¿Îª    J£®
£¨3£©¸ù¾ÝÖ½´øÌṩµÄÊý¾Ý£¬ÔÚÎó²îÔÊÐíµÄ·¶Î§ÄÚ£¬ÖØ´¸´Ó¾²Ö¹¿ªÊ¼µ½´ò³öBµãµÄ¹ý³ÌÖУ¬µÃµ½µÄ½áÂÛÊÇ    £®
£¨4£©Èç¹ûÒÔΪ×ÝÖᣬÒÔhΪºáÖᣬ¸ù¾ÝʵÑéÊý¾Ý»æ³öµÄͼÏóÓ¦ÊÇʲôÐÎ×´²ÅÄÜÑéÖ¤»úеÄÜÊØºã¶¨ÂÉ£¬Í¼ÏßµÄбÂʱíʾʲô£¿    £®
¡¾´ð°¸¡¿·ÖÎö£º£¨1£©ÓÉAC¼ä¾àÀëºÍʱ¼ä£¬Çó³öAC¶Îƽ¾ùËÙ¶È£¬´úÌæBµãµÄ˲ʱËÙ¶È£¬Óɶ¯ÄÜEK=Çó½â£®
£¨2£©ÖØ´¸µÄÖØÁ¦ÊÆÄܼõСÁ¿¡÷EP=mg?OB£®
£¨3£©¸ù¾Ý¼ÆËã½á¹û£¬µÃ³ö½áÂÛ£®
£¨4£©±¾ÊµÑéÐèÒªÑéÖ¤µÄ·½³ÌÊÇmgh=£¬Í¼ÏóбÂÊk=g£®
½â´ð£º½â£º£¨1£©AC=£¨125.4-31.4£©×10-2m=0.94m£¬T=0.04S£¬BµãµÄ˲ʱËÙ¶ÈvB==1.175m/s£¬¶¯ÄÜEkB==0.69J£®
    £¨2£©ÖØ´¸µÄÖØÁ¦ÊÆÄܼõСÁ¿¡÷EP=mg?OB=0.69J£®
    £¨3£©µÃµ½µÄ½áÂÛÊÇ£ºÖØ´¸´Ó¾²Ö¹¿ªÊ¼µ½´ò³öBµãµÄ¹ý³ÌÖлúеÄÜÊØºã£®
    £¨4£©±¾ÊµÑéÐèÒªÑéÖ¤µÄ·½³ÌÊÇmgh=£¬¼´ÊÇ=gh£¬ÓÉÊýѧ֪ʶ¿ÉÖª£¬µ±Í¼ÏóÓ¦ÊǹýÔ­µãµÄÖ±Ïßʱ£¬²ÅÄÜÑéÖ¤»úеÄÜÊØºã¶¨ÂÉ£®Í¼ÏßµÄбÂʱíʾ±íÊ¾ÖØÁ¦¼ÓËÙ¶Èg£®
¹Ê±¾Ìâ´ð°¸ÊÇ£º£¨1£©1.175£»0.69£®
              £¨2£©0.69£¬
              £¨3£©ÖØ´¸´Ó¾²Ö¹¿ªÊ¼µ½´ò³öBµãµÄ¹ý³ÌÖУ¬»úеÄÜÊØºã£¬
              £¨4£©±íÊ¾ÖØÁ¦¼ÓËÙ¶Èg£®
µãÆÀ£º±¾Ìâ¹Ø¼üÔÚÓÚ¶ÔʵÑéÔ­ÀíµÄÀí½â£®Í¨¹ýÑ¡ÔñºÏÊʵÄ×ø±ê£¬Í¨¹ýÖ±ÏßͼÏó̽¾¿ÎïÀí¹æÂÉÒ²³£Ó÷½·¨£®
Á·Ï°²áϵÁдð°¸
Ïà¹ØÌâÄ¿
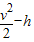
£¨1£©ÈçͼʵËùʾΪ¡°ÓÃDIS£¨Î»ÒÆ´«¸ÐÆ÷¡¢Êý¾Ý²É¼¯Æ÷¡¢¼ÆËã»ú£©Ñо¿¼ÓËٶȺÍÁ¦µÄ¹ØÏµ¡±µÄʵÑé×°Öã®
¾«Ó¢¼Ò½ÌÍø
¢ÙÔÚ¸ÃʵÑéÖбØÐë²ÉÓÿØÖƱäÁ¿·¨£¬Ó¦±£³Ö
 
²»±ä£¬Óù³ÂëËùÊܵÄÖØÁ¦×÷ΪС³µËùÊÜÍâÁ¦£¬ÓÃDIS²âС³µµÄ¼ÓËÙ¶È£®
¢Ú¸Ä±äËù¹Ò¹³ÂëµÄÊýÁ¿£¬¶à´ÎÖØ¸´²âÁ¿£®ÔÚij´ÎʵÑéÖиù¾Ý²âµÃµÄ¶à×é
Êý¾Ý¿É»­³öa-F¹ØÏµÍ¼Ïߣ¨ÈçͼËùʾ£©£®¢Ù·ÖÎö´ËͼÏßµÄOA
¶Î¿ÉµÃ³öµÄʵÑé½áÂÛÊÇ
 

¢Û´ËͼÏßµÄAB¶ÎÃ÷ÏÔÆ«ÀëÖ±Ïߣ¬Ôì³É´ËÎó²îµÄÖ÷ÒªÔ­ÒòÊÇ
 

A£®Ð¡³µÓë¹ìµÀÖ®¼ä´æÔÚĦ²Á       B£®µ¼¹ì±£³ÖÁËˮƽ״̬
C£®Ëù¹Ò¹³ÂëµÄ×ÜÖÊÁ¿Ì«´ó         D£®ËùÓÃС³µµÄÖÊÁ¿Ì«´ó
£¨2£©Ä³´Î¡°ÑéÖ¤»úеÄÜÊØºã¶¨ÂÉ¡±µÄʵÑéÖУ¬ÓÃ6V¡¢50HzµÄ´òµã¼ÆÊ±Æ÷´ò³öµÄÒ»ÌõÎÞ©µãµÄÖ½´ø£¬ÈçͼËùʾ£¬OµãÎªÖØ´¸ÏÂÂäµÄÆðµã£¬Ñ¡È¡µÄ¼ÆÊýµãΪA¡¢B¡¢C¡¢D£¬¸÷¼ÆÊýµãµ½OµãµÄ³¤¶ÈÒÑÔÚͼÉϱê³ö£¬µ¥Î»ÎªºÁÃ×£¬ÖØÁ¦¼ÓËÙ¶ÈÈ¡9.8m/s2£¬ÈôÖØ´¸ÖÊÁ¿Îª1kg£®´òµã¼ÆÊ±Æ÷´ò³öBµãʱ£¬ÖØ´¸ÏÂÂäµÄËÙ¶ÈvB=
 
m/s£¬ÖØ´¸µÄ¶¯ÄÜEkB=
 
J£®´Ó¿ªÊ¼ÏÂÂäËãÆð£¬´òµã¼ÆÊ±Æ÷´òBµãʱ£¬ÖØ´¸µÄÖØÁ¦ÊÆÄܼõСÁ¿Îª
 
J£®£¨½á¹û±£ÁôÈýλÓÐЧÊý×Ö£©
¾«Ó¢¼Ò½ÌÍø

Î¥·¨ºÍ²»Á¼ÐÅÏ¢¾Ù±¨µç»°£º027-86699610 ¾Ù±¨ÓÊÏ䣺58377363@163.com

¾«Ó¢¼Ò½ÌÍø