ÌâÄ¿ÄÚÈÝ
£¨1£©ÊµÑéʱ±ØÐë¿ØÖÆ°Ú½Ç£¬Èô°Ú³¤Îª1.2m£¬ÔòÒª½«°ÚÇòÀÖÁÀëÆ½ºâλÖÃÔ¼______m´¦ÊÍ·Å£®
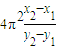
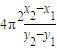
£¨2£©Ä³Í¬Ñ§ÊµÑéʱ¸Ä±ä°Ú³¤£¬²â³ö¼¸×é°Ú³¤LºÍ¶ÔÓ¦µÄÖÜÆÚTµÄÊý ¾Ý£¬×÷³öT2-LͼÏߣ¬ÈçͼËùʾ£®ÀûÓÃͼÏßÉÏÈÎÁ½µãA¡¢BµÄ×ø±ê£¨x1£¬y1£©¡¢£¨x2£¬y2£©£¬±ã¿ÉÇóµÃÖØÁ¦¼ÓËÙ¶Èg=______£®
£¨3£©×÷T2-LͼÏß½â¾öÎïÀíÎÊÌ⣬¿ÉÒÔÌáʾÎÒÃÇ£ºÈô°ÚÇòµÄÖÊÁ¿·Ö²¼ ²»¾ùÔÈ£¬¶Ô²âÁ¿½á¹û½«______£®
¡¾´ð°¸¡¿·ÖÎö£º£¨1£©µ¥°ÚÄ£ÐÍÊÇÒ»ÖÖÀíÏ뻯µÄÄ£ÐÍ£¬Ö»ÓÐÔÚ°Ú¶¯½Ç¶ÈСÓÚ5°£¨»ò10°£©µÄ·¶Î§ÄÚ£¬ÆäÔ˶¯²Å½üËÆÎª¼òгÔ˶¯£¬Í¬Ê±Òª×¢Òâ²»ÄÜ×öÔ²×¶°ÚÔ˶¯£¬·ñÔòÎó²î½Ï´ó£»
£¨2£©ÓÃͼÏë·¨¿ÉÒÔ¼õСʵÑéÎó²î£¬¶øÇÒͼÏóÖ±¹ÛÐÎÏ󣬱ãÓÚÊý¾Ý´¦Àí£»
£¨3£©Èô°ÚÇòµÄÖÊÁ¿·Ö²¼ ²»¾ùÔÈ£¬Ö±ÏßµÄбÂʲ»±ä£¬¹Ê²»Ó°Ïì×îºó½á¹û£®
½â´ð£º½â£º
£¨1£©£©µ¥°ÚÄ£ÐÍÊÇÒ»ÖÖÀíÏ뻯µÄÄ£ÐÍ£¬Ö»ÓÐÔÚ°Ú¶¯½Ç¶ÈСÓÚ5°£¨»ò10°£©µÄ·¶Î§ÄÚ£¬ÆäÔ˶¯²Å½üËÆÎª¼òгÔ˶¯£¬
ËùÒÔtan10°=
½âµÃ£ºx=0.1m
£¨2£©ÓÉÖÜÆÚ¹«Ê½T=
£¬¿ÉµÃ
L=
´úÈëÊý¾Ý¿ÉµÃ
g=
£¨3£©Í¨¹ýµÚ£¨2£©ÎʵĽáÂÛ¿ÉÒÔÖªµÀ£¬Èô°ÚÇòµÄÖÊÁ¿·Ö²¼²»¾ùÔÈ£¬£¨x2-x1£©¼°£¨y2-y1£©²»±ä£¬¹Ê²»Ó°Ïì×îºó½á¹û£®
¹Ê´ð°¸Îª£º0.1£¬
£¬²»»áÓÐÓ°Ïì
µãÆÀ£ºÓõ¥°Ú²âÖØÁ¦¼ÓËÙ¶ÈÊÇÒ»ÖÖ¼òµ¥ÇÒ±ãÓÚ²Ù×÷µÄ·½·¨£¬Òª×¢Ò⾡Á¿¼õСʵÑéÎó²î£¬°Ú¶¯½Ç¶ÈҪС£¬Êý¾Ý´¦Àí¾¡Á¿ÓÃͼÏ󷨣®
£¨2£©ÓÃͼÏë·¨¿ÉÒÔ¼õСʵÑéÎó²î£¬¶øÇÒͼÏóÖ±¹ÛÐÎÏ󣬱ãÓÚÊý¾Ý´¦Àí£»
£¨3£©Èô°ÚÇòµÄÖÊÁ¿·Ö²¼ ²»¾ùÔÈ£¬Ö±ÏßµÄбÂʲ»±ä£¬¹Ê²»Ó°Ïì×îºó½á¹û£®
½â´ð£º½â£º
£¨1£©£©µ¥°ÚÄ£ÐÍÊÇÒ»ÖÖÀíÏ뻯µÄÄ£ÐÍ£¬Ö»ÓÐÔÚ°Ú¶¯½Ç¶ÈСÓÚ5°£¨»ò10°£©µÄ·¶Î§ÄÚ£¬ÆäÔ˶¯²Å½üËÆÎª¼òгÔ˶¯£¬
ËùÒÔtan10°=
½âµÃ£ºx=0.1m
£¨2£©ÓÉÖÜÆÚ¹«Ê½T=
L=
´úÈëÊý¾Ý¿ÉµÃ
g=
£¨3£©Í¨¹ýµÚ£¨2£©ÎʵĽáÂÛ¿ÉÒÔÖªµÀ£¬Èô°ÚÇòµÄÖÊÁ¿·Ö²¼²»¾ùÔÈ£¬£¨x2-x1£©¼°£¨y2-y1£©²»±ä£¬¹Ê²»Ó°Ïì×îºó½á¹û£®
¹Ê´ð°¸Îª£º0.1£¬
µãÆÀ£ºÓõ¥°Ú²âÖØÁ¦¼ÓËÙ¶ÈÊÇÒ»ÖÖ¼òµ¥ÇÒ±ãÓÚ²Ù×÷µÄ·½·¨£¬Òª×¢Ò⾡Á¿¼õСʵÑéÎó²î£¬°Ú¶¯½Ç¶ÈҪС£¬Êý¾Ý´¦Àí¾¡Á¿ÓÃͼÏ󷨣®
Á·Ï°²áϵÁдð°¸
Ïà¹ØÌâÄ¿