ÌâÄ¿ÄÚÈÝ
Èçͼ¼×Ëùʾ£¬¹Ì¶¨ÓÚˮƽ×ÀÃæÉϵĽðÊôµ¼¹ìabcd×ã¹»³¤£¬½ðÊô°ôef¸éÔÚµ¼¹ìÉÏ£¬¿ÉÎÞĦ²ÁµØ»¬¶¯£¬´Ëʱbcfe¹¹³ÉÒ»¸ö±ß³¤ÎªlµÄÕý·½ÐΣ®½ðÊô°ôµÄµç×èΪr£¬ÆäÓಿ·ÖµÄµç×è²»¼Æ£®ÔÚt=0µÄʱ¿Ì£¬µ¼¹ì¼ä¼ÓÒ»ÊúÖ±ÏòϵĴų¡£¬´Å¸ÐӦǿ¶ÈËæÊ±¼äµÄ±ä»¯ÈçͼÒÒËùʾ£®ÎªÊ¹½ðÊô°ôefÔÚ0-t1±£³Ö¾²Ö¹£¬ÔÚ½ðÊô°ôefÉÏÊ©¼ÓһˮƽÀÁ¦F£¬´Ót1ʱ¿ÌÆð±£³Ö´ËʱµÄˮƽÀÁ¦F²»±ä£¬½ðÊô°ôefÔÚµ¼¹ìÉÏÔ˶¯ÁËsºó¸ÕºÃ´ïµ½×î´óËÙ¶È£¬Ç󣺣¨1£©ÔÚt=
£¨2£©½ðÊô°ôefÔÚµ¼¹ìÉÏÔ˶¯µÄ×î´óËÙ¶È£»
£¨3£©´Ót=0¿ªÊ¼µ½½ðÊô°ôef´ïµ½×î´óËٶȵĹý³ÌÖУ¬½ðÊô°ôefÖвúÉúµÄÈÈÁ¿£®
¡¾´ð°¸¡¿·ÖÎö£º£¨1£©ÓÉ·¨ÀµÚµç´Å¸ÐÓ¦¶¨ÂÉÇó³ö¸ÐÓ¦µç¶¯ÊÆ£¬ÓÉF=BILÇó³ö°²ÅàÁ¦£¬ÓÉÀã´Î¶¨ÂÉÅжϳö¸ÐÓ¦µçÁ÷µÄ·½Ïò£¬ÓÉ×óÊÖ¶¨ÔòÅжϳö°²ÅàÁ¦µÄ·½Ïò£¬ÓÉÆ½ºâÌõ¼þÇó³öÀÁ¦´óСÓë·½Ïò£»
£¨2£©µ±ÀÁ¦Óë°²ÅàÁ¦ÏàµÈʱ£¬µ¼Ìå°ô×öÔÈËÙÔ˶¯£¬ËÙ¶È´ïµ½×î´ó£¬Çó³öÀÁ¦£¬¸ù¾Ý°²ÅàÁ¦¹«Ê½Çó³öµ¼Ìå°ôµÄ×î´óËÙ¶È£»
£¨3£©Óɽ¹¶ú¶¨ÂÉÇó³öµ¼Ìå°ô¾²Ö¹Ê±²úÉúµÄ½¹¶úÈÈ£¬ÓÉÄÜÁ¿Êغ㶨ÂÉÇó³öµ¼Ìå°ôÔ˶¯Ê±²úÉúµÄ½¹¶úÈÈ£¬È»ºóÇó³öÕû¸ö¹ý³Ì²úÉúµÄ½¹¶úÈÈ£®
½â´ð£º½â£º£¨1£©
ʱ¿Ì£¬¸ÐÓ¦µç¶¯ÊÆ
£¬
µ¼Ìå°ôÊܵ½µÄ°²ÅàÁ¦
£¬
ÓÉÀã´Î¶¨ÂÉ¿ÉÖª£¬¸ÐÓ¦µçÁ÷´ÓfÁ÷Ïòe£¬ÓÉ×óÊÖ¶¨Ôò¿ÉÖª£¬µ¼Ìå°ôÊܵ½µÄ°²ÅàÁ¦Ïò×ó£»
ÓÉÆ½ºâÌõ¼þ¿ÉÖª£¬´ËʱˮƽÀÁ¦F=
£¬·½ÏòˮƽÏòÓÒ£»
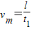
£¨2£©µ¼Ìå°ôÇиî´Å¸ÐÏß²úÉú¸ÐÓ¦µç¶¯ÊÆ£¬
µ±½ðÊô°ôµÄËÙ¶È×î´óʱ£¬¸ÐÓ¦µç¶¯ÊÆE¡ä=B1lvm£¬
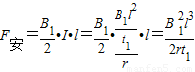
´Ëʱµ¼Ìå°ôÊܵ½µÄ°²ÅàÁ¦
=
£¬
´ËʱˮƽÀÁ¦F¡ä=2×
=
£¬
µ±°²ÅàÁ¦ÓëÀÁ¦ºÏÁ¦ÎªÁãʱ£¬µ¼Ìå°ô×öÔÈËÙÖ±ÏßÔ˶¯£¬´ËʱËÙ¶È×î´ó£¬
¼´£º
£¬
£»
½âµÃ£¬µ¼Ìå°ôµÄ×î´óËÙ¶È£º
£»
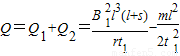
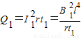
£¨3£©½ðÊô°ô¾²Ö¹Ê±µÄ¸ÐÓ¦µçÁ÷£º
£¬
²úÉúµÄ½¹¶úÈÈ£º
£¬
½ðÊô°ô´Ó¿ªÊ¼Ô˶¯µ½×î´óËٶȽ׶Σ¬
ÓÉÄÜÁ¿Êغ㶨ÂÉ£¬µÃ£º
£¬
È«¹ý³Ì²úÉúµÄ½¹¶úÈÈ
£»
´ð£º£¨1£©ÔÚt=
ʱ¿Ì¸ÃˮƽÀÁ¦FµÄ´óСΪ
£¬·½ÏòˮƽÏòÓÒ£»
£¨2£©½ðÊô°ôefÔÚµ¼¹ìÉÏÔ˶¯µÄ×î´óËÙ¶ÈÊÇ
£»
£¨3£©´Ót=0¿ªÊ¼µ½½ðÊô°ôef´ïµ½×î´óËٶȵĹý³ÌÖУ¬½ðÊô°ôefÖвúÉúµÄÈÈÁ¿ÊÇ
-
£®
µãÆÀ£ºµ¼Ìå°ô¾²Ö¹Ê±£¬´Å¸ÐӦǿ¶È¾ùÔȱ仯£¬²úÉúµÄ¸ÐÓ¦µç¶¯ÊÆÊǶ¨Öµ£¬¸ÐÓ¦µçÁ÷ÊǶ¨Öµ£¬µ«µ¼Ìå°ôÊܵ½µÄ°²ÅàÁ¦F=-BILÊDZäÁ¦£»µ¼Ìå°ôÔÚÀÁ¦×÷ÓÃÏÂÏòÓÒÔ˶¯Ê±£¬×öµÄÊǼÓËÙ¶ÈÖð½¥¼õСµÄ¼ÓËÙÔ˶¯£¬×îºó×öÔÈËÙÖ±ÏßÔ˶¯£¬¶Ôµ¼Ìå°ôÕýÈ·ÊÜÁ¦·ÖÎö£¬·ÖÎöÇå³þµ¼Ìå°ôµÄÔ˶¯¹ý³ÌÊÇÕýÈ·½âÌâµÄ¹Ø¼ü£®
£¨2£©µ±ÀÁ¦Óë°²ÅàÁ¦ÏàµÈʱ£¬µ¼Ìå°ô×öÔÈËÙÔ˶¯£¬ËÙ¶È´ïµ½×î´ó£¬Çó³öÀÁ¦£¬¸ù¾Ý°²ÅàÁ¦¹«Ê½Çó³öµ¼Ìå°ôµÄ×î´óËÙ¶È£»
£¨3£©Óɽ¹¶ú¶¨ÂÉÇó³öµ¼Ìå°ô¾²Ö¹Ê±²úÉúµÄ½¹¶úÈÈ£¬ÓÉÄÜÁ¿Êغ㶨ÂÉÇó³öµ¼Ìå°ôÔ˶¯Ê±²úÉúµÄ½¹¶úÈÈ£¬È»ºóÇó³öÕû¸ö¹ý³Ì²úÉúµÄ½¹¶úÈÈ£®
½â´ð£º½â£º£¨1£©
µ¼Ìå°ôÊܵ½µÄ°²ÅàÁ¦
ÓÉÀã´Î¶¨ÂÉ¿ÉÖª£¬¸ÐÓ¦µçÁ÷´ÓfÁ÷Ïòe£¬ÓÉ×óÊÖ¶¨Ôò¿ÉÖª£¬µ¼Ìå°ôÊܵ½µÄ°²ÅàÁ¦Ïò×ó£»
ÓÉÆ½ºâÌõ¼þ¿ÉÖª£¬´ËʱˮƽÀÁ¦F=
£¨2£©µ¼Ìå°ôÇиî´Å¸ÐÏß²úÉú¸ÐÓ¦µç¶¯ÊÆ£¬
µ±½ðÊô°ôµÄËÙ¶È×î´óʱ£¬¸ÐÓ¦µç¶¯ÊÆE¡ä=B1lvm£¬
´Ëʱµ¼Ìå°ôÊܵ½µÄ°²ÅàÁ¦
´ËʱˮƽÀÁ¦F¡ä=2×
µ±°²ÅàÁ¦ÓëÀÁ¦ºÏÁ¦ÎªÁãʱ£¬µ¼Ìå°ô×öÔÈËÙÖ±ÏßÔ˶¯£¬´ËʱËÙ¶È×î´ó£¬
¼´£º
½âµÃ£¬µ¼Ìå°ôµÄ×î´óËÙ¶È£º
£¨3£©½ðÊô°ô¾²Ö¹Ê±µÄ¸ÐÓ¦µçÁ÷£º
²úÉúµÄ½¹¶úÈÈ£º
½ðÊô°ô´Ó¿ªÊ¼Ô˶¯µ½×î´óËٶȽ׶Σ¬
ÓÉÄÜÁ¿Êغ㶨ÂÉ£¬µÃ£º
È«¹ý³Ì²úÉúµÄ½¹¶úÈÈ
´ð£º£¨1£©ÔÚt=
£¨2£©½ðÊô°ôefÔÚµ¼¹ìÉÏÔ˶¯µÄ×î´óËÙ¶ÈÊÇ
£¨3£©´Ót=0¿ªÊ¼µ½½ðÊô°ôef´ïµ½×î´óËٶȵĹý³ÌÖУ¬½ðÊô°ôefÖвúÉúµÄÈÈÁ¿ÊÇ
µãÆÀ£ºµ¼Ìå°ô¾²Ö¹Ê±£¬´Å¸ÐӦǿ¶È¾ùÔȱ仯£¬²úÉúµÄ¸ÐÓ¦µç¶¯ÊÆÊǶ¨Öµ£¬¸ÐÓ¦µçÁ÷ÊǶ¨Öµ£¬µ«µ¼Ìå°ôÊܵ½µÄ°²ÅàÁ¦F=-BILÊDZäÁ¦£»µ¼Ìå°ôÔÚÀÁ¦×÷ÓÃÏÂÏòÓÒÔ˶¯Ê±£¬×öµÄÊǼÓËÙ¶ÈÖð½¥¼õСµÄ¼ÓËÙÔ˶¯£¬×îºó×öÔÈËÙÖ±ÏßÔ˶¯£¬¶Ôµ¼Ìå°ôÕýÈ·ÊÜÁ¦·ÖÎö£¬·ÖÎöÇå³þµ¼Ìå°ôµÄÔ˶¯¹ý³ÌÊÇÕýÈ·½âÌâµÄ¹Ø¼ü£®
Á·Ï°²áϵÁдð°¸
Ïà¹ØÌâÄ¿