题目内容

(2013山东省临沂市质检)如图,用跨过光滑定滑轮的缆绳将海面上一艘失去动力的小船沿直线拖向岸边。已知拖动缆绳的电动机功率恒为P,小船受到的阻力大小恒定,小船的质量为m,经过A点时的速度大小为v0,经过B点时的速度大小v ,小船从A点沿直线加速运动到B点经历时间为t1AB两点间距离为d,缆绳质量忽略不计。求:

(1)小船从A点运动到B点的全过程克服阻力做的功Wf

(2) 小船受到的恒定阻力的大小f

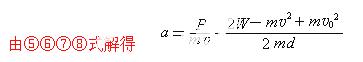
(3)小船经过B点时的加速度大小a . (提示:设小船经过B点时绳的拉力大小为F,电动机牵引缆绳的速度大小为v1

练习册系列答案
相关题目

违法和不良信息举报电话:027-86699610 举报邮箱:58377363@163.com

精英家教网