题目内容

假设在半径为R的某天体上发射一颗该天体的卫星,若它贴近该天体的表面做匀速圆周运动的运行周期为,已知万有引力常量为G,则该天体的密度为_______.若这颗卫星距该天体表面的高度为h,测得在该处做圆周运动的周期为,则该天体的密度又可表示为_________.

答案:略
解析:

 

设该卫星的质量为m,天体的质量为M卫星贴近天体表面运动时有

根据数学知识可知星球的体积,故该星球密度

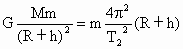
卫星距天体表面距离为h时有

应用万有引力定律求天体密度由,若近地卫星,则Rr,有


练习册系列答案
相关题目

违法和不良信息举报电话:027-86699610 举报邮箱:58377363@163.com

精英家教网