题目内容

某兴趣小组同学对质量为1.0㎏的遥空小车的运动情况进行研究.他们让这辆小车在水平的直轨道上由静止开始运动,并将小车运动的全过程记录下来,通过处理转化为如图所示的v-t图象(除2 s~10 s时间段图线为曲线外,其余时间段图线均为直线).已知在2 s~14 s时间段内小车的功率恒定,14 s末停止遥空而让小车自由滑行,整个运动过程中小车受到的阻力大小不变.从图象信息知道6 s末小车的速度约为5.62 m/s.求:

(1)小车运动中所受到阻力;

(2)6 s末小车的加速度;

(3)在2 s~10 s时间段内小车的平均速度.

答案:
解析:

  解:(1)在14 s~18 s内,加速度

  m/s2

  阻力N,负号表示方向与速度方向相反

  (2)小车功率W=9 W

  6 s末,v6=5.62 m/s,此时牵引力N≈1.6 N

  对应的加速度m/s2=0.1 m/s2

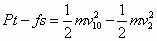
  (3)在2 s~10 s时间段内小车作变加速运动,根据动能定理得

  

  代入数据,求得2 s~10 s时间段内小车的位移S=39 m

  求得平均速度m/s


练习册系列答案
相关题目

违法和不良信息举报电话:027-86699610 举报邮箱:58377363@163.com

精英家教网