题目内容
在圆轨道上运动的质量为m的人造地球卫星,它到地面的距离等于地球半径R,地面上的重力加速度为g,则( )A.卫星运动的速度为
B.卫星运动的周期为
C.卫星运动的加速度为
D.卫星的角速度为
【答案】分析:人造地球卫星绕地球做圆周运动,万有引力提供向心力,根据万有引力定律,结合牛顿第二定律和黄金代换式求出线速度、角速度、周期和加速度的大小.
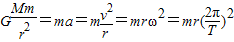
解答:解:根据
,r=2R
有GM=gR2,
解得a=
,v=
,ω=
,T=
.故B、C正确,A、D错误.
故选BC.
点评:解决本题的关键掌握万有引力提供向心力
以及黄金代换式GM=gR2.
解答:解:根据
有GM=gR2,
解得a=
故选BC.
点评:解决本题的关键掌握万有引力提供向心力
练习册系列答案
相关题目
在圆轨道上运动的质量为m的人造地球卫星,它到地面的距离等于地球半径R.地面上的重力加速度为g,则( )
A、卫星运动的加速度为
| ||||
B、卫星运动的速度为
| ||||
C、卫星运动的周期为4π
| ||||
D、卫星的动能为
|