ÌâÄ¿ÄÚÈÝ

Á½¸öÖÊÁ¿²»Í¬µÄÎïÌåÔÚÍ¬Ò»Ë®Æ½ÃæÉÏ»¬ÐУ¬ÎïÌåÓëË®Æ½Ãæ¼äµÄ¶¯Ä¦²ÁÒòÊýÏàͬ£¬±È½ÏËüÃǵÄ×î´ó»¬ÐоàÀ룬ÏÂÃæÅжÏÖдíÎóµÄÊÇ

[¡¡¡¡]

A£®ÈôÁ½¸öÎïÌåµÄ³õËÙ¶ÈÏàµÈ£¬ÔòËüÃǵÄ×î´ó»¬ÐоàÀëÏàµÈ

B£®ÈôÁ½¸öÎïÌåµÄ³õ¶¯ÄÜÏàµÈ£¬ÔòËüÃǵÄ×î´ó»¬ÐоàÀëÏàµÈ

C£®ÈôÁ½¸öÎïÌåµÄ³õ¶¯ÄÜÏàµÈ£¬ÔòÖÊÁ¿Ð¡µÄ×î´ó»¬ÐоàÀë´ó

D£®ÈôÁ½¸öÎïÌåµÄ³õ¶¯ÄÜÏàµÈ£¬ÔòÖÊÁ¿´óµÄ×î´ó»¬¶¯¾àÀë´ó

´ð°¸£ºAC
½âÎö£º

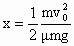
¸ù¾Ý¶¯Äܶ¨ÀíµÃ£¬ÎïÌ廬ÐоàÀëΪ

»ò

³õËÙÏàµÈ£¬ÔòxÏàͬ£»³õ¶¯ÄÜÏàµÈ£¬ÔòxÓëm³É·´±È£®


Á·Ï°²áϵÁдð°¸
Ïà¹ØÌâÄ¿

Î¥·¨ºÍ²»Á¼ÐÅÏ¢¾Ù±¨µç»°£º027-86699610 ¾Ù±¨ÓÊÏ䣺58377363@163.com

¾«Ó¢¼Ò½ÌÍø