题目内容
如图所示,放置在水平面内的平行金属框架宽为L=0.4m,金属棒ab置于框架上,并与两框架垂直,整个框架位于竖直向下、磁感强度B=0.5T的匀强磁场中,电阻R=0.09Ω,ab的电阻r=0.01Ω,摩擦不计,当ab在水平恒力F作用下以v=2.5m/s的速度向右匀速运动时,求:![]()
(1) 回路中的感应电流的大小;
(2) 恒力F的大小;
(3) 电阻R上消耗的电功率.
(1)5A(2)1N(3)2.25W
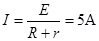
解析试题分析:(1)由法拉第电磁感应定律有![]()
则回路中的感应电流的大小![]()
(2)ab棒匀速运动时水平方向受拉力与安培力,由平衡条件有![]()
(3) 电阻R上消耗的电功率![]()
考点:法拉第电磁感应定律
点评:导体切割磁感线产生感应电动势时,切割磁感线的导体可等效于电源;导轨及电路电阻等效于外部电路,所以求得电动势后,电磁感应问题就转化为电路问题,应用闭合电路欧姆定律即可求解。
练习册系列答案
相关题目
( )
| A、在释放前的瞬间,支架对地面的压力为(m+M)g | B、在释放前的瞬间,支架对地面的压力为mg | C、摆球到达最低点时,支架对地面的压力为(m+M)g | D、摆球到达最低点时,支架对地面的压力为(3m+M)g |
| A、M对地面的压力等于(M+m)g | B、M对地面的压力大于(M+m)g | C、地面对M没有摩擦力 | D、地面对M有向左的摩擦力 |