题目内容
已知地球半径为R,地球表面的重力加速度为g,万有引力恒量为G.求(1)地球的质量;
(2)在离地h高处轨道环绕地球做匀速圆周运动的卫星的周期.
【答案】分析:1、设有一质量为m的物体在地球表面绕地球做匀速圆周运动,根据重力提供向心力即可求解地球质量.
2、对h高空的卫星,根据万有引力提供向心力
,把地球质量M数据带入,可解的卫星的周期.
解答:解:(1)在地球表面有:
所以地球的质量为:M=
(2)对h高空的卫星有:
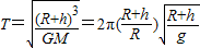
所以卫星的周期为:
答:(1)地球的质量为
;
(2)在离地h高处轨道环绕地球做匀速圆周运动的卫星的周期为
.
点评:本题主要考查了圆周运动向心力公式的直接应用,注意只能计算出中心天体的质量.
2、对h高空的卫星,根据万有引力提供向心力
解答:解:(1)在地球表面有:
所以地球的质量为:M=
(2)对h高空的卫星有:
所以卫星的周期为:
答:(1)地球的质量为
(2)在离地h高处轨道环绕地球做匀速圆周运动的卫星的周期为
点评:本题主要考查了圆周运动向心力公式的直接应用,注意只能计算出中心天体的质量.
练习册系列答案
相关题目