题目内容
汽车以v=10m/s的速度在水平路面上匀速运动,刹车后经2秒速度变为6m/s,求:刹车后8秒内汽车前进的距离和汽车停下来前最后2s内运动的位移.
【答案】分析:(1)根据加速度的定义式求出刹车的加速度.
(2)先求出刹车到停止所需的时间,因为汽车停止后不再运动,然后根据匀变速直线运动的位移时间公式求出刹车后的位移.
(3)汽车匀减速末速度为零,可以也它的运动反过来作为初速为零的匀加速处理,最后两秒内的位移为匀加速运动开始2s内的位移,根据位移时间公式即可求解.
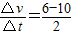
解答:解:(1)根据加速度的定义式得:a=
m/s2=-2m/s2
汽车停车所需时间:t=
s=5s
故5秒时汽车已经停止.
所以8s内的位移为:x=
=25m
(2)汽车匀减速末速度为零,可以也它的运动反过来作为初速为零的匀加速处理,
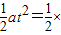
所以最后两秒内的位移为:x=
2×22m=4m
答:(1)刹车后8秒内的位移为25m;
(3)汽车在运动最后2秒内发生的位移为4m.
点评:解决本题的关键掌握匀变速直线运动的速度时间公式和位移时间公式,以及知道汽车刹车速度为零后不再运动.
(2)先求出刹车到停止所需的时间,因为汽车停止后不再运动,然后根据匀变速直线运动的位移时间公式求出刹车后的位移.
(3)汽车匀减速末速度为零,可以也它的运动反过来作为初速为零的匀加速处理,最后两秒内的位移为匀加速运动开始2s内的位移,根据位移时间公式即可求解.
解答:解:(1)根据加速度的定义式得:a=
汽车停车所需时间:t=
故5秒时汽车已经停止.
所以8s内的位移为:x=
(2)汽车匀减速末速度为零,可以也它的运动反过来作为初速为零的匀加速处理,
所以最后两秒内的位移为:x=
答:(1)刹车后8秒内的位移为25m;
(3)汽车在运动最后2秒内发生的位移为4m.
点评:解决本题的关键掌握匀变速直线运动的速度时间公式和位移时间公式,以及知道汽车刹车速度为零后不再运动.
练习册系列答案
相关题目