题目内容
如图,在光滑的水平桌面上有一物体A,通过绳子与物体B相连,假设绳子的质量以及绳子与定滑轮之间的摩擦力都可以忽略不计,绳子不可伸长.如果mB=3mA,F=mBg,则甲乙两图中关于物体A的加速度大小计算正确的是( )A.甲图为3g,乙图为
B.甲图为3g,乙图为3g
C.甲图为g,乙图为
D.甲图为3g,乙图为g
【答案】分析:对于甲图,拉力F等于A物体的合力,根据牛顿第二定律可求得A的加速度;对于乙图,A与B的加速度大小相等,方向不同,可以采用隔离法,分别对两物体运用牛顿第二定律进行研究,从而得出A的加速度.
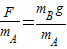
解答:解:甲图:根据牛顿第二定律,得:aA=
=3g
乙图:根据牛顿第二定律,得:
对A:F=mAa①
对B:mBg-F=mBa②
由①+②得
a=
=
故A正确,BCD错误
故选A
点评:牛顿第二定律应用的思路第一步是明确研究对象.对于研究对象的选择常有两种方法:隔离法和整体法.整体法应用时要注意条件,中学阶段整体法的条件:几个物体的加速度相同.处理连接体问题时,要灵活选择研究对象.
解答:解:甲图:根据牛顿第二定律,得:aA=
乙图:根据牛顿第二定律,得:
对A:F=mAa①
对B:mBg-F=mBa②
由①+②得
a=
故A正确,BCD错误
故选A
点评:牛顿第二定律应用的思路第一步是明确研究对象.对于研究对象的选择常有两种方法:隔离法和整体法.整体法应用时要注意条件,中学阶段整体法的条件:几个物体的加速度相同.处理连接体问题时,要灵活选择研究对象.
练习册系列答案
相关题目