题目内容
一辆汽车从甲地开往乙地的过程中,前一半时间内的平均速度是30km/h,后一半时间的平均速度是60km/h,则在全程内这辆汽车的平均速度是?( )A.35km/h
B.40km/h?
C.45km/h
D.50km/h?
【答案】分析:本题比较简单,考查了平均速度的运算,根据题意分别计算出前后两段位移,然后直接利用平均速度公式
求解即可.
解答:解:根据题意前一半时间内的位移为:
后一半时间内的位移为:
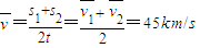
全过程平均速度为:
,故ABD错误,C正确.
故选C.
点评:正确理解、应用运动学中的概念、规律是学会物理的基础,在平时要加强针对基本概念的训练.
解答:解:根据题意前一半时间内的位移为:
后一半时间内的位移为:
全过程平均速度为:
故选C.
点评:正确理解、应用运动学中的概念、规律是学会物理的基础,在平时要加强针对基本概念的训练.
练习册系列答案
相关题目
一辆汽车从静止开始由甲地出发,沿平直公路开往乙地。汽车先做匀加速直线运动,接着做匀减速直线运动,开到乙刚好停止,其V—t图象如图所示。那么在0~4s和4~6s两段时间内,下列说法正确的是( )![]()
| A.加速度大小之比为1:2 | B.位移大小之比为1:2 |
| C.平均速度大小之比为2:1 | D.平均速度大小之比为1:1 |