题目内容

如图所示,一个大轮通过皮带拉着小轮转动,皮带和两轮之间无滑动,大轮的半径是小轮的2倍,大轮上的一点S与转动轴的距离是半径的.当大轮边上P点的向心加速度是时,大轮上的S和小轮边缘上的Q点的向心加速度各是多大?

答案:略
解析:

  同一轮子上的SP点角速度相同,由向心加速度公式可得(a正比于r)

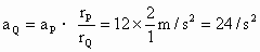
  所以.因为皮带不打滑,所以皮带传动的两轮缘各点线速度大小相等:,由向心加速度公式.可得(a反比于r),所以

  应注意向心加速度公式,在v一定的情况下,可认为物体的向心加速度ar成反比;在ω一定的情况下,可认为向心加速度ar成正比.因向心加速度的每个公式都涉及三个物理量的变化关系,所以必须在某一物理量不变时,才可以判断另外两个物理量之间的关系.


练习册系列答案
相关题目

违法和不良信息举报电话:027-86699610 举报邮箱:58377363@163.com

精英家教网