题目内容
A.U=40
B.U=40V,P=80W
C.U=40
D.U=40V,P=20W
【答案】分析:根据图象可以求得输出电压的有效值、周期和频率等,二极管的作用是只允许正向的电流通过,再根据电压与匝数成正比即可求得结论.
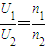
解答:解:在AB间接入正弦交流电U1=220V,变压器原线圈n1=110匝,副线圈n2=20匝,有:
,得有效值U2=40V.而二极管的反向耐压值至少为U,它是最大值,所以U=
,
Q为副线圈正中央抽头,则R两端电压为20V,所以R消耗的热功率为
故选:C
点评:本题需要掌握变压器的电压之比和匝数比之间的关系,同时对于二极管和电容器的作用要了解.
解答:解:在AB间接入正弦交流电U1=220V,变压器原线圈n1=110匝,副线圈n2=20匝,有:
Q为副线圈正中央抽头,则R两端电压为20V,所以R消耗的热功率为
故选:C
点评:本题需要掌握变压器的电压之比和匝数比之间的关系,同时对于二极管和电容器的作用要了解.
练习册系列答案
相关题目