题目内容

如图所示,在直角坐标系的第一、二象限内有垂直于纸面的匀强磁场,第三象限有沿y轴负方向的匀强电场,第四象限内无电场和磁场.质量为m、带电量为q粒子从M点以速度v0沿x轴负方向进入电场,不计粒子的重力,粒子经N和x轴上的P点最后又回到M点.设OM=OP=L,ON=OP=L,求:

(1)电场强度E的大小.

(2)匀强磁场的磁感强度B的大小和方向.

(3)粒子从M点进入电场,经N、P点最后又回到M点所用的时间.

答案:
解析:

  (1)根据粒子在电场中运动的情况可知,粒子带负电,粒子在电场中运动所用时间为

  x方向:,…………2分

  y方向:2分 ……解得:………1分

  (2)设到达N点的速度v,运动方向与一x轴方向的夹角为θ,如图所示.

  由动能定理得:

  得:………2分

  因为,所以

  粒子在磁场中做匀速圆周运动,经过P点时速度方向也与一x方向成45°,从到M作直线运动OP=OM=L,所以

  粒子在磁场中的轨道半径为 ………2分

  又因………2分

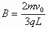
  联立解得:………1分 方向垂直纸面向里…………1分

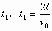
  (3)粒子在电场中运动的时间为…………1分

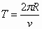
  设粒子在磁场中运动所用的时间为,磁场中运动周期为T有:

     2分

  ……1分

  从P离开磁场作匀速直线运动到M所用的时间为……1分

  粒子从M点进入电场,经N、P点最后又回到M点所用的时间为:

  ……2分


练习册系列答案
相关题目

违法和不良信息举报电话:027-86699610 举报邮箱:58377363@163.com

精英家教网