题目内容

(10分)如图所示,光滑水平面AB与竖直面内的半圆形导轨在B点相接,导轨半径为R.一个质量为m的物体将弹簧压缩至A点后由静止释放,在弹力作用下物体获得某一向右速度后脱离弹簧,脱离弹簧后当它经过B点进入导轨瞬间对导轨的压力为其重力的7倍,之后向上运动完成半个圆周运动恰好到达C点。试求:

(1)弹簧开始时的弹性势能;

(2)物体从B点运动至C点克服阻力做的功;

(3)物体离开C点后落回水平面时,重力的瞬时功率是多大

 

【答案】

(1)(2)(3)

【解析】

试题分析:(1) 物块在B点时由牛顿第二定律得

           2 分

解得:

所以其弹势能为:           1分

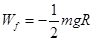
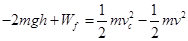
(2) 恰好到达C点则   可得        1 分

根据动能定理得:            2分

解得 ,即克服摩擦阻力做功          1分

(3)  物体从C点平抛后,落地时竖直方向的速度为

重力的瞬时功率为           2分

解得:            1分

考点:考查了牛顿第二定律,动能定理,功能关系,瞬时功率

 

练习册系列答案
相关题目

违法和不良信息举报电话:027-86699610 举报邮箱:58377363@163.com

精英家教网