ÌâÄ¿ÄÚÈÝ

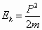
ÈçͼËùʾ£¬Ôڰ뾶ΪrµÄÔ²ÐÎÇøÓòÄÚÓдŸÐӦǿ¶ÈΪB£¬·½Ïò´¹Ö±Ö½ÃæÏòÀïµÄÔÈÇ¿´Å³¡£¬´Å³¡ÇøÓòµÄ±ß½çÉÏÓÐa¡¢b¡¢cÈýµã£¬ÈýµãÓëÔ²ÐÄOµÄÁ¬Ïß»¥³É120¡ã½Ç¶È£®Ä³Ê±¿Ì¾²Ö¹ÔÚbµã´¦µÄÔ­×ÓºËX·¢Éú¦ÁË¥±ä£¬¦ÁÁ£×ÓÑØbcÁ¬Ïß·½ÏòÉäÈë´Å³¡£¬¾­´Å³¡Æ«×ªºóÇ¡ºÃÓÉaµãÉä³öÇÒÓëacÁ¬ÏßÏàÇУ®ÒÑÖª¦ÁÁ£×ÓµÄÖÊÁ¿Îªm£¬µçÁ¿Îª2e£¬Ê£ÓàºËÖÊÁ¿ÎªM£¬Ë¥±ä¹ý³ÌÊͷŵĺËÄÜÈ«²¿×ª»¯Îª¶¯ÄÜ£¬ÇóÔ­×ÓºËXµÄÖÊÁ¿

´ð°¸£º
½âÎö£º

¡¡¡¡½â£ºÔ­×ÓºËË¥±ä¹ý³Ì£¬ÏµÍ³¶¯Á¿Êغ㣬

¡¡¡¡ÉèÑØbcΪÕý·½Ïò£¬ÓУº

¡¡¡¡(2·Ö)

¡¡¡¡¸ù¾ÝÄÜÁ¿Êغ㣬ÓУº(2·Ö)

¡¡¡¡¶Ô§ÑÁ£×Ó£¬ÓУº

¡¡¡¡ÓÖÓɼ¸ºÎ¹ØÏµ¿ÉÖª£º

¡¡¡¡Ôò¿ÉµÃ£º(2·Ö)

¡¡¡¡¼´(1·Ö)

¡¡¡¡¸ù¾Ý£¬µÃ

¡¡¡¡(2·Ö)

¡¡¡¡ÓÖ(2·Ö)

¡¡¡¡(1·Ö)

¡¡¡¡(2·Ö)


Á·Ï°²áϵÁдð°¸
Ïà¹ØÌâÄ¿

Î¥·¨ºÍ²»Á¼ÐÅÏ¢¾Ù±¨µç»°£º027-86699610 ¾Ù±¨ÓÊÏ䣺58377363@163.com

¾«Ó¢¼Ò½ÌÍø