题目内容

载人航天飞行已成为人类探索太空的重要手段.由于地球在不断的自转,因而在发射宇宙飞船或卫星时,可以利用地球的自转以尽量减少发射人造飞船或卫星时火箭所需的燃料,为此,国际社会目前正准备在最理想的地点建立一个联合发射中心.

(1)这个发射中心应建在何处(供选地点:两极、赤道、纬度45°处)?简述选择理由.

(2)运载火箭应最终朝什么方向发送(供选方向:东、西、南、北)?简述选择理由.

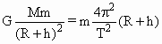
(3)今要在该中心发射一颗质量为m的同步卫星,已知万有引力常量为G、地球的半径为R、地球的质量为M.若要求出同步卫星离地面的高度,除了以上已知量外还要根据常识知道地球的什么物理量,并用这些量求出该高度.

答案:
解析:

  解析:(1)应建在赤道上,因为该位置随地球自转的线速度最大.………2分

  (2)东方,为了使火箭的发射方向(或初速度)与地球自转方向相同………2分

  (3)地球的自转周期T…………………………………………2分

  设同步卫星离地面的高度为h,由

  ……………………2分

  可得:……………………2分


练习册系列答案
相关题目

违法和不良信息举报电话:027-86699610 举报邮箱:58377363@163.com

精英家教网