题目内容
我国已于2004年启动“嫦娥绕月工程”,2007年之前将发射绕月飞行的飞船.已知月球半径R,月球表面的重力加速度g.如果飞船关闭发动机后绕月做匀速圆周运动,距离月球表面的高度h,求飞船速度的大小.
【答案】分析:写出万有引力提供向心力的表达式与黄金代换公式,联立即可求出结果.
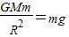
解答:解:在月球表面的重力等于万有引力,即:
…①
飞船在轨道上时:
…②
由式解得:
答:飞船的速度是
.
点评:该题考查万有引力定律的应用,属于基础题目.
解答:解:在月球表面的重力等于万有引力,即:
飞船在轨道上时:
由式解得:
答:飞船的速度是
点评:该题考查万有引力定律的应用,属于基础题目.
练习册系列答案
相关题目