题目内容
一列简谐横波沿x轴传播,甲、乙两图分别为传播方向上相距3 m的两质点的振动图象,如果波长大于1.5 m,则波的传播速度大小可能为( )
![]()
A.30 m/s B.15 m/s C.10 m/s D.6 m/s
【答案】
AC
【解析】
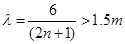
试题分析:根据振动图像可知
,观察甲乙振动图像,甲乙的振动步调相差半个周期即甲乙的距离
,根据波长大于1.5m得
,得波长
或
,根据传播速度
可得对应的速度
或者
选项AC对BD错。
考点:机械振动机械波
练习册系列答案
相关题目
一列简谐横波沿x轴正方向传播,t时刻的波形如图中的实线所示,此时波刚好传到P点.t+0.6s时刻的波形如图中的虚线所示,该时刻波刚好传到Q点,a、b、c、d、P、Q是介质中的质点,以下说法正确的( )

一列简谐横波沿x轴正向传播,传到M点时波形如图所示,再经0.6s,N点开始振动,则该波的振幅A和频率f为( )

| A、A=1m f=5Hz | B、A=0.5m f=5Hz | C、A=1m f=2.5Hz | D、A=0.5m f=2.5Hz |
| A、A=1m f=5Hz | B、A=2m f=5Hz | C、A=1m f=2.5Hz | D、A=2m f=2.5Hz |