题目内容
正电子发射计算机断层(PET)是分子水平上的人体功能显像的国际领先技术,它为临床诊断和治疗提供全新的手段.(1)PET在心脏疾病诊疗中,需要使用放射正电子的同位素氮13示踪剂.氮13是由小型回旋加速器输出的高速质子轰击氧16获得的,反应中同时还产生另一个粒子,试写出该核反应方程.
(2)PET所用回旋加速器示意如图,其中置于高真空中的金属D形盒的半径为R,两盒间距为d,在左侧D形盒圆心处放有粒子源S,匀强磁场的磁感应强度为B,方向如图所示.质子质量为m,电荷量为q.设质子从粒子源S进入加速电场时的初速度不计,质子在加速器中运动的总时间为t(其中已略去了质子在加速电场中的运动时间),质子在电场中的加速次数于回旋半周的次数相同,加速质子时的电压大小可视为不变.求此加速器所需的高频电源频率f和加速电压U.
(3)试推证当R>>d时,质子在电场中加速的总时间相对于在D形盒中回旋的时间可忽略不计(质子在电场中运动时,不考虑磁场的影响).
【答案】分析:(1)书写核反应方程式:反应物和生成物质量数守恒核电荷数守恒.
(2)粒子每做半个圆周运动便加速一次,而相邻的两次加速场强相反,故电场和粒子圆周运动的周期相同.且粒子离开加速器时圆周运动的轨道半径等于D形盒的半径.根据
和EK=nqU即可解出答案.
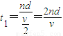
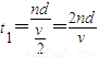
(3)在电场中的总的运动可以看做连续的匀加速直线运动,故根据平均速度公式可得在电场中运动时间为:
,在D形盒中运动时间为t2=
故
解答:解:(1)核反应方程为:816O+11H→713N+24He①
(2)设质子加速后最大速度为v,由牛顿第二定律得得:
②
质子的回旋周期为:
③
离频电源的频率为:
④
质子加速后的最大动能为:
⑤
设质子在电场中加速的次数为n,则:EK=nqU⑥
又t=
⑦
可解得:U=
⑧
(3)在电场中加速的总时间为:
⑨
在D形盒中回旋的意时间为
⑩
故
即只有当R?d时,质子在电场中加速的总时间相对于在D形盒中回旋的时间可忽略不计.
点评:①质量数守恒但质量不守恒,故用箭头而不用等号.②粒子离开加速器时圆周运动的轨道半径等于D形盒的半径.③在电场中的总的运动可以看做连续的匀加速直线运动.以上三点是我们解决此类题目的突破口.
(2)粒子每做半个圆周运动便加速一次,而相邻的两次加速场强相反,故电场和粒子圆周运动的周期相同.且粒子离开加速器时圆周运动的轨道半径等于D形盒的半径.根据
(3)在电场中的总的运动可以看做连续的匀加速直线运动,故根据平均速度公式可得在电场中运动时间为:
解答:解:(1)核反应方程为:816O+11H→713N+24He①
(2)设质子加速后最大速度为v,由牛顿第二定律得得:
质子的回旋周期为:
离频电源的频率为:
质子加速后的最大动能为:
设质子在电场中加速的次数为n,则:EK=nqU⑥
又t=
可解得:U=
(3)在电场中加速的总时间为:
在D形盒中回旋的意时间为
故
即只有当R?d时,质子在电场中加速的总时间相对于在D形盒中回旋的时间可忽略不计.
点评:①质量数守恒但质量不守恒,故用箭头而不用等号.②粒子离开加速器时圆周运动的轨道半径等于D形盒的半径.③在电场中的总的运动可以看做连续的匀加速直线运动.以上三点是我们解决此类题目的突破口.
练习册系列答案
相关题目