题目内容

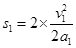
(18分)一长木板在水平地面上运动,在t=0时刻将一相对于地面静止的物块轻放到木板上,以后木板运动的速度一时间图像如图所示。已知物块与木板的质量相等,物块与木板间及木板与地面间均有摩擦,物块与木板间的最大静摩擦力等于滑动摩擦力,且物块始终在木板上。取重力加速度的大小g=10 m/s2,求:

(1)物块与木板间的动摩擦因数

(2)木板与地面间的动摩擦因数

(3)从0.5s到停止,物块与木板的加速度分别多大;

(4)从t=0时刻到物块与木板均停止运动时,物块相对于木板的位移的大小。

 

【答案】

 

【解析】

试题分析:(1)设物块和木板间的质量为m,物块和木板间,木板与地面间的动摩擦因数分别为

从t=0时刻,木板与物块之间的摩擦力使物块加速,此过程一直持续到物块和木板具有共同速度为止,由图可知,在时,物块和木板的速度相同,设t=0到时间间隔内,物块加速度为,则    (1分)

由牛顿第二定律得:     (1分)

解得    (1分)

(2)    (1分)

     (2分)

     (1分)

或中分别为木板在t=0到时的速度大小

(3)在时刻后,地面对木板的摩擦力阻碍木板运动,物块与木板之间的摩擦力改变方向。设物块与木板之间的摩擦力大小为,物块和木板的加速度大小分别为,则由牛顿第二定律得(1分)

(1分)

假设二者相对静止,则;得,与假设矛盾,则二者相对滑动,故(1分)

代入解出(1分)  (1分)

 

(4)可知木块减速到零后就静止,物块一直减速到静止,物块的图像如图中点划线所示。由运动学公式可推知,物块和木板相对于地面的运动距离分别为

  (2分)

  (2分)

物块相对于木板的位移的大小为

  (1分)

联得   (1分)

考点:牛顿运动定律的综合应用,V—t图象,

 

练习册系列答案
相关题目

违法和不良信息举报电话:027-86699610 举报邮箱:58377363@163.com

精英家教网