题目内容

AB两物体在光滑的水平面上相向运动,其中物体A的质

量为mA=4 kg,两球发生相互作用前后的运动情况如图

所示,则:

(1)由图可知AB两物体在________时刻发生碰撞,B物体

的质量为mB=________kg.

(2)碰撞过程中,系统的机械能损失多少?

 

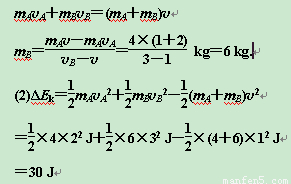
【答案】

(1)2 s 6 (2)30 J

 【解析】

(1)由图可知物体AB在2 s时发生碰撞.取物体B运动的方向为正方向,由动量守恒定律和图象得

 

 

练习册系列答案
相关题目

违法和不良信息举报电话:027-86699610 举报邮箱:58377363@163.com

精英家教网