题目内容

如图所示的电路中,两平行金属板A、B水平放置,两板间的距离,电源电动势,内电阻,电阻,闭合开关S,待电路稳定后,一带电量C, 质量的小球恰好静止于两板之间。取,求:

(1)两板间的电压为多少

(2)此时,滑动变阻器接入电路的阻值为多少

 

【答案】

(1)8V(2)8Ω

【解析】

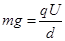
试题分析:(1)小球平衡:

(2)设此时滑动变阻器接入电路的阻值为RP,

得:

考点:平衡问题及闭合电路的计算。

 

练习册系列答案
相关题目

违法和不良信息举报电话:027-86699610 举报邮箱:58377363@163.com

精英家教网